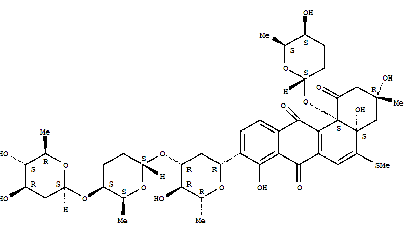
urdamycin E(104542-47-4)
- Name: urdamycin E
- Synonyms:Benz[a]anthracene-1,7,12(2H)-trione,9-[2,6-dideoxy-3-O-[[2S-(2a,5b,6b)]-5-[(2,6-dideoxy-b-D-arabino-hexopyranosyl)oxy]tetrahydro-6-methyl-2H-pyran-2-yl]-b-D-arabino-hexopyranosyl]-3,4,4a,12b-tetrahydro-3,4a,8-trihydroxy-3-methyl-5-(methylthio)-12b-[(tetrahydro-5-hydroxy-6-methyl-2H-pyran-2-yl)oxy]-,[3R-[3a,4aa,12ba(2S*,5S*,6S*)]]-; Urdamycin E
- Molecular Formula:C44H58 O17 S
- Molecular Weight:890.98612
- CAS Registry Number:104542-47-4
- EINECS:
- Melting Point:
- Water Solubility:
Other Product
- 124351-91-3/[(cyclopropylamino)methanediyl]bis(phosphonic acid)
- 63428-85-3/Poly(oxy-1,2-ethanediyl), alpha-sulfo-omega-(hexyloxy)-, sodiumsalt
- 18392-94-4/1,1'-Biadamantane-3-3'-diamine dihydrochloride
- 39164-86-8/2-hydroxy-N,2-diphenylpentanamide
- 37492-26-5/Ethyl 2-methylheptanoate
- 1956-15-6/3-CHLORO-DL-PHENYLALANINE
- 50719-80-7/Erythrinitol
- 26703-48-0/1'H-Pregnano[3,2-c]pyrazole(8CI,9CI)
- 53282-47-6/Bicyclo[4.1.0]heptane, 7-(methylethylidene)-
- 52468-36-7/7-chloro-1,3-dihydro-1-methyl-5-phenyl-2H-benzo-1,4-diazepin-2-one monohydrochloride
- 39977-50-9/5-{[(dimethylcarbamothioyl)sulfanyl]methyl}pyridine-2-carboxylic acid
- 69928-43-4/1-benzyl-4-butyl-1-methoxy-4-methylpiperazinediium diiodide
- 33305-77-0/BOC-L-4-Nitrophe
- 16685-55-5/Arsenic, isotope ofmass 71
- 75848-76-9/BIS(3,5-DIBROMOSALICYL)ADIPATE, 97
- 58985-21-0/Diptocarpidine
- 91939-29-6/3-ethynylcephalosporin
- 24731-94-0/ethyl N-[4-[4-(ethoxycarbonylamino)phenyl]sulfonylphenyl]carbamate
- 427-28-1/(25R)-3-beta-hydroxyspirost-5-en-12-one
- 104542-47-4/urdamycin E
- 93840-16-5/methyl octahydro-5,5-dimethyl-2-naphthoate
- 103248-16-4/N-ethyl-N-[(6-nitro-1H-benzimidazol-1-yl)methyl]ethanamine
- 125252-58-6/alpha-D-Glucopyranoside, methyl, polymer with butanedioic acid, 1,4-cyclohexanedimethanol, dimethyl 1,4-benzenedicarboxylate, 1,2-ethanediol, 2,2-(1,2-ethanediylbis(oxy))bis(ethanol), hexanedioic acid, ((1-methyl-1,2-ethanediyl)bis(oxy))bis(propanol), 2,2-oxybis(ethanol), oxybis(propanol) and pentanedioic acid
- 93894-55-4/1,1,2,2,3,3,4,4-octafluorobutane-1-sulphonic anhydride
- 30201-43-5/5-[(3-methoxyphenyl)hydrazono]-1,3-dimethylpyrimidine-2,4,6(1H,3H,5H)-trione
- 6917-23-3/16-{[3-(acetylamino)-5-{[3-(acetylamino)-4,5-dihydroxy-6-(hydroxymethyl)tetrahydro-2H-pyran-2-yl]oxy}-2-hydroxy-6-(hydroxymethyl)tetrahydro-2H-pyran-4-yl]oxy}-5-(4-amino-4-carboxybutyl)-10-carboxy-2,13-dimethyl-4,7,12,15-tetraoxo-3,6,11,14-tetraazaheptade
- 41682-84-2/3-hydroxy-2,2-dimethyl-2'-phenylpropionohydrazide
- 763-25-7/ethylene glycol bisphosphate
- 20800-10-6/1-{4-[2-(morpholin-4-yl)ethoxy]phenyl}propan-1-one hydrochloride (1:1)
- 52053-17-5/(4R,6S)-2-(chloromethyl)-4,6-dimethyl-1,3-dioxane
