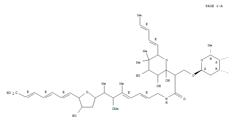
unphenelfamycin(118498-90-1)
- Name: unphenelfamycin
- Synonyms:2,4,6-Heptatrienoicacid, 7-[5-[(3E,5E)-7-[[3-[(2,6-dideoxy-3-O-methyl-a-D-lyxo-hexopyranosyl)oxy]-1-oxo-2-[tetrahydro-2,3,4-trihydroxy-5,5-dimethyl-6-(1E,3E)-1,3-pentadienyl-2H-pyran-2-yl]propyl]amino]-2-methoxy-1,3-dimethyl-3,5-heptadienyl]tetrahydro-3-hydroxy-2-furanyl]-(9CI); Unphenelfamycin
- Molecular Formula:C43H65 N O14
- Molecular Weight:819.97
- CAS Registry Number:118498-90-1
- EINECS:
- Melting Point:
- Water Solubility:
Other Product
- 4616-22-2/5-[(2-methylbenzyl)oxy]-2-phenyl-1-benzofuran-3-carboxylic acid
- 14049-86-6/Manganese,pentacarbonyl(phenylmethyl)-, (OC-6-21)-
- 89516-40-5/3-(azepan-1-yl)-1-(10H-phenothiazin-2-yl)propan-1-one
- 161672-76-0/(6R,7R)-7-{[(2Z)-2-(2-amino-1,3-thiazol-4-yl)-2-(hydroxyimino)acetyl]amino}-8-oxo-3-{(E)-[2-oxo-1-(2,2,2-trifluoroethyl)pyrrolidin-3-ylidene]methyl}-5-thia-1-azabicyclo[4.2.0]oct-2-ene-2-carboxylic acid
- 21313-82-6/N-(4,6-diaminopyrimidin-5-yl)-2-(4-nitrophenoxy)acetamide
- 6026-23-9/2-{5-[(E)-(2,4,6-trioxo-1-phenyltetrahydropyrimidin-5(2H)-ylidene)methyl]furan-2-yl}benzoic acid
- 18715-38-3/(E)-hex-3-enedinitrile
- 104775-02-2/4-{[(Z)-(3-chloro-5-methyl-6-oxocyclohexa-2,4-dien-1-ylidene)(4-chlorophenyl)methyl]amino}-2-methylbutanamide
- 51026-61-0/(methanediyldipyridin-1-yl-4-ylidene)bis(N-oxomethanaminium)
- 85049-76-9/Cobaltate(3-), bis(6-amino-5-((2-hydroxy-3,5-dinitrophenyl)azo)-1-naphthalenesulfonato(3-))-, sodium
- 102830-67-1/6-bromo-2-(4-chlorophenyl)-3,4-dihydro-2H-pyrano[2,3-b]pyridine
- 9033-48-1/Polyguanylic polymerase
- 26100-53-8/2-Propenoic acid,2-methyl-,esters,2-(diethylamino) ethyl ester,polymer with ethenylbenzene
- 113900-79-1/Olean-12-en-28-oicacid, 3-[(6-O-a-L-arabinopyranosyl-b-D-glucopyranosyl)oxy]-2,16,23-trihydroxy-,O-D-apio-b-D-furanosyl-(1®4)-O-b-D-xylopyranosyl-(1®4)-O-6-deoxy-a-L-mannopyranosyl-(1®2)-O-[b-D-glucopyranosyl-(1®3)]-6-deoxy-4-O-[16-hydroxy-1,9-dioxo-2-(b-D-xylopyranosyloxy)hexadecyl]-b-D-galactopyranosyl ester, (2b,3b,4a,16a)- (9CI)
- 123991-01-5/Octadecanoic acid,(4-hydroxyphenyl)-, 2,2-dimethyl-1,3-propanediyl ester (9CI)
- 27918-03-2/Glutamic acid,N-[(1-piperidinyloxy)carbonyl]-
- 39108-47-9/N-Butyl-3-cyano-6-hydroxy-4-methyl-2-pyridone
- 63261-17-6/3-(3-oxo-3-phenyl-propyl)sulfonyl-1-phenyl-propan-1-one
- 83711-66-4/cystine ketimine
- 118498-90-1/unphenelfamycin
- 94092-91-8/diethyl butyl(5-oxotetrahydrothiophen-3-yl)propanedioate
- 5249-97-8/triacontyl carbamimidothioate
- 6320-98-5/butane-1,4-diyl dicarbamohydrazonothioate
- 4345-85-1/1-(4-ethoxyphenyl)-3-phenylurea
- 110471-64-2/3-(dichloromethoxy)benzene-1,2-dicarboxylic acid
- 37798-78-0/2,2-Dithiobis(N-((4-ethoxyphenyl)methyl)benzamide
- 7463-76-5/N-hydroxy-2-nitro-10-nitrosophenanthren-9-amine
- 100019-25-8/Cholestane-3,6,8,15-tetrol,24-[(3-O-methyl-a-L-arabinofuranosyl)oxy]-,(3b,5a,6a,15a,24S)- (9CI)
- 22048-31-3/methyl 1-[3-(dimethylamino)propyl]-3,3-dimethyl-1,3-dihydro-2-benzofuran-1-carboxylate hydrochloride (1:1)
- 69029-98-7/Wastes, flash furnace
