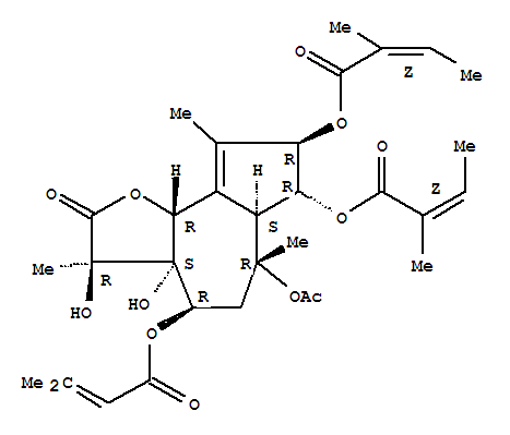
thapsivillosin A(81127-16-4)
- Name: thapsivillosin A
- Synonyms:2-Butenoicacid, 2-methyl-,6-(acetyloxy)-2,3,3a,4,5,6,6a,7,8,9b-decahydro-3,3a-dihydroxy-3,6,9-trimethyl-4-[(3-methyl-1-oxo-2-butenyl)oxy]-2-oxoazuleno[4,5-b]furan-7,8-diylester, [3R-[3a,3ab,4a,6b,6ab,7b(Z),8a(Z),9ba]]-; Azuleno[4,5-b]furan,2-butenoic acid deriv.; Thapsivillosin A
- Molecular Formula:C32H42 O12
- Molecular Weight:618.67
- CAS Registry Number:81127-16-4
- EINECS:
- Melting Point:
- Water Solubility:
Other Product
- 18367-70-9/[(1S,3aR,4S,8aS)-4,8,8-trimethyldecahydro-1,4-methanoazulen-9-yl]methyl acetate
- 64647-31-0/α-[2-(Diethylamino)ethyl]-α-(1-methylethyl)-2-thiopheneacetonitrile
- 78265-95-9/N-hydroxy-2-methoxy-4-(phenylazo)-benzenamine
- 54500-31-1/V 31 (cutting fluid)
- 4022-81-5/1-(4-CHLOROPHENYL)BIGUANIDE HYDROCHLORIDE
- 143873-63-6/LHRH, 4-ClPhe(2)-Trp(3,6)-
- 33211-51-7/1,3-Dihydro-1-methyl-7-(N-methylmethylsulfonylamino)-5-phenyl-2H-1,4-benzodiazepin-2-one
- 26766-27-8/Triarimol
- 2043-43-8/Lactamide
- 2271-93-4/N,N'-HEXAMETHYLENE-1,6-BIS(1-AZIRIDINECARBOXAMIDE)
- 61035-94-7/2-[2-(benzyloxy)phenyl]ethanamine hydrochloride
- 133405-41-1/3-{2-[1-acetyl-5-(2-hydroxyphenyl)-4,5-dihydro-1H-pyrazol-3-yl]phenyl}-5-methyl-2-(2-phenyl-1H-indol-3-yl)-1,3-thiazolidin-4-one
- 3811-20-9/Cuminaldehyde thiosemicarbazone
- 157675-61-1/L-Lysinamide,N-acetyl-L-alanyl-L-a-glutamyl-L-alanyl-L-a-glutamyl-L-alanyl-L-lysyl-L-alanyl-L-lysyl-L-alanyl-L-a-glutamyl-L-alanyl-L-a-glutamyl-L-alanyl-L-lysyl-L-alanyl-
- 90-47-1/Xanthone
- 201596-35-2/EP 2 (explosive)
- 141-05-9/Diethyl maleate
- 75259-67-5/5-hydroxyindalpine
- 81127-16-4/thapsivillosin A
- 101699-78-9/1,1'-[m-Phenylenebis[oxy(2-hydroxytrimethylene)]]bis[1-methylpiperidiniumiodide] (7CI)
- 3542-29-8/2-[hydroxy-[2-hydroxy-3-[(E)-octadec-9-enoyl]oxy-propoxy]phosphoryl]oxyethyl-trimethyl-azanium
- 28516-43-0/POLY(ETHYLENE-CO-METHACRYLIC ACID), ZINC SALT
- 22939-93-1/4-methoxy-3-nitrobenzenesulphonamide
- 134649-45-9/2,4-dinitrophenol-lysine-fluorescein conjugate
- 1162-82-9/GENISTEIN TRIMETHYL ETHER
- 160676-03-9/DNA,d(P-thio)(C-A-G-C-C-A-T-G-G-T-T-C-C-C-C-C-C-A-A-C) (9CI)
- 10440-91-2/[(1-nitro-2-naphthyl)oxy]acetic acid
- 82059-49-2/Wy 26703
- 9033-46-9/E.C. 3.1.3.27
- 63040-21-1/9,10,14c,15-tetraazanaphtho[1,2,3-fg]tetracene nitrate
