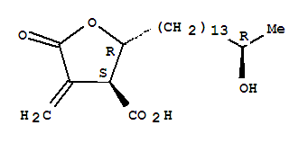
murolic acid(70579-58-7)
- Name: murolic acid
- Synonyms:3-Furancarboxylicacid, tetrahydro-2-(14-hydroxypentadecyl)-4-methylene-5-oxo-, [2R-[2a(R*),3b]]-; (+)-Murolic acid; Murolic acid, (+)-
- Molecular Formula:C21H36 O5
- Molecular Weight:368.51
- CAS Registry Number:70579-58-7
- EINECS:
- Melting Point:
- Water Solubility:
Other Product
- 6363-90-2/1-amino-4-bromo-9,10-dioxo-9,10-dihydroan thracene-2-carboxylic acid
- 85371-58-0/3(Or5)-((4-(benzylethylamino)phenyl)azo)-1,4-dimethyl-1H-1,2,4-triazolium methyl sulphate
- 33082-86-9/1-(2-chloroethyl)-3-(4-hydroxycyclohexyl)urea
- 123938-54-5/Acron MC
- 77356-54-8/Card-20(22)-enolide,2,3,14,15-tetrahydroxy-,(2R,3â,5R,15â)-
- 5959-50-2/(2E)-3-(3-ethoxy-5-iodo-4-methoxyphenyl)prop-2-enoic acid
- 84696-75-3/3,3,3,3-(1,4-Piperazine-1,4-diylbis(1,3,5-triazine-6,2,4-triylbis(oxymethylene)))tetrakis(3-ethyl-8,8,10,10-tetramethyl-1,5-dioxa-9-azaspiro(5.5)undecane)
- 59720-00-2/tris(tridecyl) borate
- 97808-49-6/Myristica platysperma, ext.
- 78859-71-9/3-benzyl-2-hydroxy-1-phenylquinolin-4(1H)-one
- 89958-04-3/Brayeraanthelmintica, ext.
- 52908-85-7/(2-methylphenyl)carbamodithioic acid
- 68726-82-9/3-amino-8-methyl-2,4,10-triazabicyclo[4.4.0]deca-3,11-dien-5-one
- 166-52-9/12a,12b-epoxy-12a,12b-dihydro-
- 13514-28-8/S-{(2Z)-2-amino-2-[(pyridin-3-ylmethyl)imino]ethyl} hydrogen sulfurothioate
- 64584-51-6/17β-Hydroxy-17α-methyl-5α-androstan-3-one O-(p-nitrophenyl)oxime
- 21402-57-3/2,6-diacetyl-1,7,9-trihydroxy-8,9b-dimethyl-4a,9b-dihydrodibenzo[b,d]furan-3(4H)-one
- 53130-67-9/2-(hydroxyamino)naphthalene-1,4-dione
- 109037-73-2/Fatty acids, C6-12,sulfophenyl esters, sodium salts
- 70579-58-7/murolic acid
- 86073-83-8/P 24-20
- 12270-87-0/C.I. Reactive Violet 13
- 60513-06-6/Zinc, bis (hydrazine-N)bis(thiocyanato-N)-, (T-4)-
- 97670-09-2/1-Propanone, 3-(8-methyl-3,8-diazabicyclo(3.2.1)oct-3-yl)-1-phenyl-, O-(((4-methoxyphenyl)amino)carbonyl)oxime, dihydrochloride
- 101626-75-9/N-[3,5-bis({(1R,2R,3R)-1-[(1R)-1,2-dihydroxyethyl]-2,3-dihydroxy-4-oxobutyl}oxy)-2,4,6-triiodophenyl]-2-hydroxypropanamide (non-preferred name)
- 4843-98-5/4-hydroxypyrazole
- 12408-43-4/dialuminium dibarium calcium hexaoxide
- 91696-92-3/Bicyclo(3.1.1)hept-2-ene, 2,6,6-trimethyl-, hydroformylation products
- 63680-38-6/1,3-Diethyl-2-hexadecyl-2-thiopseudourea hydrochloride
- 103069-98-3/Fats and Glyceridic oils, vegetable, sulfated, sodium salts
