microcystin YM(101043-35-0)
- Name: microcystin YM
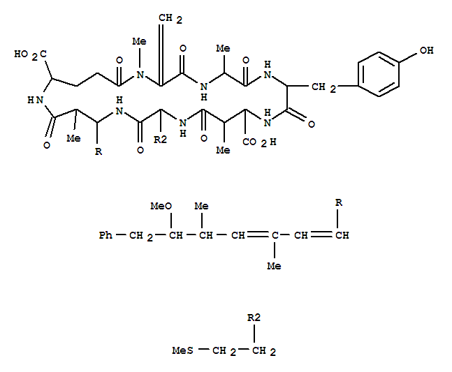
- Synonyms:MicrocystinLA, 3-L-tyrosine-5-L-methionine-; 1,4,7,10,14,17,21-Heptaazacyclopentacosane,cyclic peptide deriv.; Cyanoginosin LA, 3-L-tyrosine-5-L-methionine-;Cyanoginosin YM;Cyclo[2,3-didehydro-N-methylalanyl-D-alanyl-L-tyrosyl-erythro-3-methyl-D-b-aspartyl-L-methionyl-(2S,3S,4E,6E,8S,9S)-4,5,6,7-tetradehydro-9-methoxy-2,6,8-trimethyl-10-phenyl-3-aminodecanoyl-D-g-glutamyl]
- Molecular Formula:C51H69 N7 O13 S
- Molecular Weight:1020.2
- CAS Registry Number:101043-35-0
- EINECS:
- Melting Point:
- Water Solubility:
Other Product
- 37420-68-1/2-chloro-6-methyl-N-[(2E)-1-(2-methylprop-1-en-1-yl)pyrrolidin-2-ylidene]aniline
- 5472-60-6/3,3-diethyl-9-methyl-3,6-diazoniaspiro[5.6]dodecane
- 5194-78-5/4-[[4-[[4-[(4-cyanophenyl)methylideneamino]phenyl]methyl]phenyl]iminomethyl]benzonitrile
- 5248-74-8/2-(2,4-dichlorophenyl)-N-{(E)-[4-(diethylamino)phenyl]methylidene}-1H-benzimidazol-6-amine
- 12266-38-5/LEAD ANTIMONIDE
- 39635-87-5/dicarboxylic anhydride
- 93572-89-5/Cobaltate(1-), bis(1-((2-hydroxy-4(or 5)-nitrophenyl)azo)-2-naphthalenolato(2-))-, hydrogen, compd. with 3-(C8-18-alkylamino)butanoic acid (1:1)
- 19419-24-0/2-[(4,4-dimethyl-2,6-dioxo-cyclohexyl)-(4-methoxyphenyl)methyl]-5,5-dimethyl-cyclohexane-1,3-dione
- 64264-45-5/(3E)-3-(2-furylmethylidene)-1H-indol-2(3H)-one
- 73816-44-1/5-(1H-indol-3-yl)-N,N-dimethylpentan-1-aminium 5-carboxypentanoate
- 64346-38-9/1,3-Naphthalenedisulfonicacid, 7-hydroxy-8-[2-(4'-hydroxy-3,3'-dimethyl[1,1'-biphenyl]-4-yl)diazenyl]-,sodium salt (1:2)
- 25486-89-9/10,11,12,13-Tetrahydrobenzo[b]triphenylene
- 56501-83-8/1,2,2-Triphenyl-1-(4-pyridyl)methanol
- 492-26-2/(S)-1,2,3,4-Tetrahydro-4-oxo-2-quinolinecarboxylic acid
- 50992-45-5/6,6'-methylenebis(4-chloro-2-isopropyl-m-cresol)
- 62311-75-5/(-)-Filiformin
- 70253-66-6/H-Gly-Lys-His-OH
- 10193-98-3/2-[[(mercaptoacetyl)oxy]methyl]-2-methyl-1,3-propanediyl bis(mercaptoacetate)
- 65427-84-1/4-nitro-5-(4-phenylpiperazin-1-yl)-2,1,3-benzoxadiazole 1-oxide
- 101043-35-0/microcystin YM
- 103997-59-7/Selprazine
- 29126-12-3/diphenylmethyl (6R-trans)-3-methyl-8-oxo-7-(phenylacetamido)-5-thia-1-azabicyclo[4.2.0]oct-2-ene-2-carboxylate
- 72479-85-7/sodium tetrahydrofuran-2-ylmethyl phosphate
- 61197-59-9/(2E)-2-(aminomethylidene)-8-chloro-6-phenyl-2,4-dihydro-1H-imidazo[1,2-a][1,4]benzodiazepin-1-one
- 16112-27-9/2-(biphenyl-4-yl)-5-(4-methylphenyl)-1,3,4-oxadiazole
- 12764-63-5/Nickel alloy, base,Ni,Cr,Fe,Mo,Si,W (Kh15N55M15V) (9CI)
- 147603-70-1/restin
- 77430-23-0/MERCURY, METHYL(THIOACETAMIDO)-
- 103980-56-9/6-amino-5-pentylpyrimidin-4(1H)-one
- 80030-73-5/4H,9H-Dipyrazolo[1,5-a:1,5-d]pyrazine-4,9-dione, 2,7-dimethyl-3,8-dinitro-
