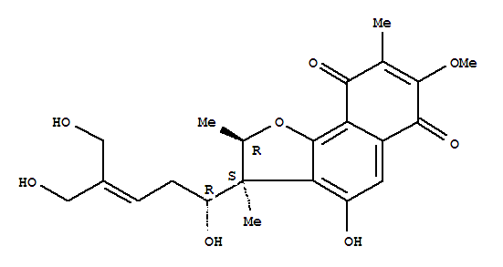
furaquinocin H(134985-03-8)
- Name: furaquinocin H
- Synonyms:Naphtho[1,2-b]furan-6,9-dione,3-[(1R)-1,5-dihydroxy-4-(hydroxymethyl)-3-pentenyl]-2,3-dihydro-4-hydroxy-7-methoxy-2,3,8-trimethyl-,(2R,3S)- (9CI); Naphtho[1,2-b]furan-6,9-dione,3-[1,5-dihydroxy-4-(hydroxymethyl)-3-pentenyl]-2,3-dihydro-4-hydroxy-7-methoxy-2,3,8-trimethyl-,[2R-[2a,3a(R*)]]-; (-)-Furaquinocin H; Furaquinocin H; KO 3988H
- Molecular Formula:C22H26 O8
- Molecular Weight:418.44
- CAS Registry Number:134985-03-8
- EINECS:
- Melting Point:
- Water Solubility:
Other Product
- 21289-23-6/R 5183
- 82518-54-5/2,3,7,8-tetrachlorooxanthren-1-ol
- 135216-07-8/N-acetyl-2-naphthylalanyl-4-chlorophenyalanyl-3-pyridylalanyl-seryl-N-methyltyrosyl-lysyl-leucyl-lysyl-prolyl-alaninamide
- 154301-52-7/2-Propenoic acid, 2-methyl-, polymer with N-(1,1-dimethylethyl)-2-propenamide and 2-propenoic acid, potassium salt
- 26761-50-2/isooctyl oleate
- 58353-68-7/Disodium (Z)-4-(9-octadecenylamino)-4-oxo-2(or 3)-sulphonatobutyrate
- 52414-97-8/3-BROMO-2-NITROTOLUENE
- 25901-36-4/Benzoic acid,3,3'-[(1,10-dioxo-1,10-decanediyl)diimino]bis[5-[(acetylamino)methyl]-2,4,6-triiodo-(9CI)
- 229346-94-5/2-Pyrimidinamine,N-[2-bromo-4-(1-methylethyl)phenyl]-N-ethyl-4-[4-(3-fluorophenyl)-3,6-dihydro-1(2H)-pyridinyl]-6-methyl-
- 37257-05-9/Methyltransferase,inositol 1-O-
- 91721-98-1/Reseda odorata, ext.
- 5910-47-4/2,4,5-trichlorophenyl 5-oxo-L-prolinate
- 16793-62-7/2-chloro-N-{2-[4-chloro-5-methyl-2-(propan-2-yl)phenoxy]ethyl}-N-ethylethanamine hydrochloride (1:1)
- 68724-13-0/N,N,N-trimethyl[(3S,5S)-5-methyltetrahydrofuran-3-yl]methanaminium iodide
- 15916-96-8/Di(tert-butylamino)phenylphosphine
- 35085-33-7/ethyl 2-(diethoxyphosphoryl)-3-(4-methoxyphenyl)propanoate
- 53405-97-3/1,1-diethoxyundecane
- 67176-08-3/ethyl [5-oxo-1-(quinolin-2-yl)-2,5-dihydro-1H-1,2,4-triazol-3-yl]carbamate
- 145613-56-5/Pentanoic acid,3-hydroxy-,(3R,5aS,5bR,7aS,8S,11aR,11bS,13R,13aS)-8-ethyl-1,3,5a,5b,6,7,7a,8,9,10,11,11a,11b,12,13,13a-hexadecahydro-3-hydroxy-3,5b,8,11a,13a-pentamethyl-1-oxochryseno[1,2-c]furan-13-ylester
- 134985-03-8/furaquinocin H
- 34198-69-1/(6aS)-6aβ,12aβ-Dihydro-2,2-dimethyl-2H,6H-[1,3]dioxolo[5,6]benzofuro[3,2-c]pyrano[2,3-h][1]benzopyran
- 4412-91-3/3-Furanmethanol
- 109683-79-6/Utibaprilat
- 125456-46-4/6H-2,3,5-Trioxapentaleno[1',6':5,6,7]cyclonona[1,2-a]naphthalen-6-one,10-[(6-deoxy-3-O-methyl-b-D-glucopyranosyl)oxy]-2a,4,4a,6a,7,9,10,11,12,12a,12b,13,14,14b-tetradecahydro-7-hydroxy-2a,12a-dimethyl-,(2aR,4aS,6aR,7S,10S,12aR,12bS,14bR)-
- 69567-19-7/2,6-dimethyl-3-(1-methylpyrrolidin-2-yl)pyridine
- 41287-31-4/Thiosulfuric acid hydrogen S-[2-[[3-[(4,6-dimethyl-2-quinolinyl)oxy]propyl]amino]ethyl] ester
- 57-54-5/N-2-Chloroethyl-N-methylaziridinium
- 95046-23-4/N,N'-[1,4-dioxane-2,5-diylbis(methylene)]bis[N-(carboxymethyl)glycine]
- 30647-63-3/hexane-3,4-diyl bis(thiocyanate)
- 1406-65-1/Chlorophyll
