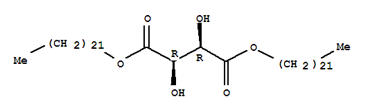
didocosyl [R-(R*,R*)]-tartrate(94237-19-1)
- Name: didocosyl [R-(R*,R*)]-tartrate
- Synonyms:Butanedioicacid, 2,3-dihydroxy-[R-(R*,R*)]-, didocosyl ester
- Molecular Formula:C48H94 O6
- Molecular Weight:767.25636
- CAS Registry Number:94237-19-1
- EINECS:
- Melting Point:
- Water Solubility:
Other Product
- 60508-89-6/gonyautoxin II
- 94556-14-6/109766-35-0
- 15525-07-2/Manganese,decacarbonyl(mercury)di-, (2Hg-Mn)
- 59595-85-6/POLY(4 4'-METHYLENEBIS(PHENYL ISOCYANAT&
- 113036-79-6/(S)-2-Amino-N-[[[(5S)-6,7,9,10,13,14,14aα,15-octahydro-1,4-dihydroxy-2,5α,11-trimethoxy-3,12,16-trimethyl-10,13-dioxo-6α,15α-epimino-5H-isoquino[3,2-b][3]benzazocin]-9β-yl]methyl]propionamide
- 79565-84-7/2-{[N-(3-chlorophenyl)-N-(phenylcarbonyl)-beta-alanyl]oxy}-N,N-dimethylethanaminium (2E)-3-carboxyprop-2-enoate
- 73138-68-8/Bergamot oil, treated
- 120280-37-7/2,2-dimethyl-4-(1-oxidopyridin-2-yl)-2H-chromene-6-carbonitrile
- 72361-53-6/1,1-((1-Methylethylidene)bis(4,1-phenyleneoxy))bis-2-propanol, isophthalic acid, succinic anhydride, trimethylolpropane polymer
- 90640-95-2/Hydrocarbons, C20-50, solvent dewaxed heavy paraffinic, hydrotreated
- 27963-33-3/6-Isobutoxy-s-triazine-2,4-diamine
- 670-75-7/N-(5-ethyl-2-methoxyphenyl)-3-(morpholin-4-yl)butanamide
- 118103-00-7/L-Tyrosinamide,L-phenylalanyl-L-norleucyl-L-histidyl-L-asparaginyl-L-leucyl-D-tryptophyl-L-lysyl-L-histidyl-L-leucyl-L-seryl-L-seryl-L-norleucyl-L-a-glutamyl-L-arginyl-L-valyl-L-a-glutamyl-L-tryptophyl-L-leucyl-L-arginyl-L-lysyl-L-lysyl-L-leucyl-L-glutaminyl-L-a-aspartyl-L-valyl-L-histidyl-L-asparaginyl-(9CI)
- 30687-32-2/N-(2-Hydroxyethyl)-3-(2-methylphenyl)propenamide
- 58910-28-4/ethyl (1-ethoxyethylidene)carbazate
- 28348-27-8/Decanedioic acid,polymers,polymer with (2Z)-2-butenedioic acid and 2,2'-oxybis[ethanol]
- 59693-39-9/O-ethyl O-(5-methoxy-1-methyl-6-oxo-1,6-dihydropyridazin-4-yl) S-(1-methylethyl) thiophosphate
- 131528-52-4/N-{4,6-dioxo-3-phenyl-5-[(phenylamino)methyl]-2-thioxotetrahydropyrimidin-1(2H)-yl}-4-{[(1E)-phenylmethylidene]amino}benzamide
- 94237-19-1/didocosyl [R-(R*,R*)]-tartrate
- 1063-87-2/SILICON BENZOATE
- 23721-22-4/ethyl 5-(bis{2-[(methylsulfonyl)oxy]ethyl}amino)-2-nitrobenzoate
- 73541-66-9/6-{[bis(2-chloroethyl)amino]methyl}pyrimidine-2,4(1H,3H)-dione
- 40185-32-8/Labda-7,14-diene-13-ol
- 186090-66-4/9,19-Cyclolanost-24-ene-3,21,22-triol,21,23- epoxy-,(3â,21S,22S,23S)-
- 5055-20-9/Nifurquinazol
- 13396-41-3/tetrasodium tetrametaphosphate
- 102759-47-7/Benzeneethanamine,4,5-dimethoxy-2-[2-(4-methoxyphenyl)ethyl]-N,N-dimethyl-
- 29660-85-3/(2S,3S,4S,5R)-6-(4-{4-[(2S)-2-amino-2-carboxyethyl]-2,6-diiodophenoxy}-2,6-diiodophenoxy)-3,4,5-trihydroxytetrahydro-2H-pyran-2-carboxylic acid (non-preferred name)
- 33493-30-0/dimethyl 4-methylbenzoylphosphonate
- 5781-42-0/(16beta,17beta)-3-(prop-2-en-1-yloxy)estra-1,3,5(10)-triene-16,17-diol
