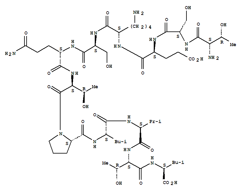
des-enkephalin-gamma-endorphin(74174-40-6)
- Name: des-enkephalin-gamma-endorphin
- Synonyms:a-Endorphin (sheep),1-de-L-tyrosine-2-deglycine-3-deglycine-4-de-L-phenylalanine-5-de-L-methionine-16a-L-leucine-;Desenkephalin g-endorphin;Org 5878
- Molecular Formula:C56H98 N14 O21
- Molecular Weight:1303.45852
- CAS Registry Number:74174-40-6
- EINECS:
- Melting Point:
- Water Solubility:
Other Product
- 5685-46-1/1,1'-Bicyclopropane
- 69527-46-4/[(5-nitrofuran-2-yl)methylidene]propanedinitrile
- 5807-64-7/BIPHENYL-2,2'-DICARBOXYLIC ACID DIMETHYL ESTER
- 16441-25-1/(2-PHENYL-1,3-THIAZOL-4-YL)ACETONITRILE
- 90632-70-5/5-(1-(4-Ethoxyphenyl)ethyl)-6-methoxy-1,3-benzodioxole
- 98517-35-2/RS 36038
- 825-29-6/pyrimidine-2,4,5,6(1H,3H)-tetrone 5-oxime, monosodium salt
- 83232-50-2/Sodium (N-(4-hydroxy-3-((2-hydroxy-8-(mesylamino)-1-naphthyl)azo)-5-nitrophenyl)acetamidato(2-))(4-hydroxy-3-((2-hydroxy-1-naphthyl)azo)benzenesulphonamidato(2-))chromate(1-)
- 2209-36-1/4,5,6,7-tetrahydro-2,1,3-benzoxadiazole 1-oxide
- 129619-37-0/(3R,6R)-3,6-OCTANEDIOL
- 7230-63-9/hydroxy-oxo-rhenium tetrahydrochloride
- 1117-55-1/FEMA 2575
- 62674-99-1/2-(2-chlorodibenzo[b,f]thiepin-10-yl)-N,N-dimethylethanaminium chloride
- 34359-77-8/Trimethyl Orthomethoxyacetate
- 73791-45-4/Methylpropylarsinic acid
- 3947-79-3/1-(3,4-dimethoxybenzyl)-6,7-dimethoxy-2-methyl-3,4-dihydroisoquinolinium
- 4889-37-6/anhydro-
- 73181-83-6/4,5-bis(4-methoxyphenyl)-2-(2-hydroxyethylsulfinyl)imidazole
- 6149-03-7/SODIUM 4-N-OCTYLBENZENESULFONATE
- 74174-40-6/des-enkephalin-gamma-endorphin
- 4638-55-5/JF 2080
- 131865-53-7/N-succinimidyl 8-((4'-fluorobenzyl)amino)suberate
- 153735-26-3/3-(2-Propylpentanoyl)-5,5-diphenylhydantoin
- 42429-27-6/L-Prolinamide hydrochloride
- 109333-41-7/5-(2-chlorophenyl)-3-(4-chlorophenyl)-1-(2,4-dinitrophenyl)-4,5-dihydro-1H-pyrazole
- 67875-40-5/Poly(oxy-1,2-ethanediyl), alpha,alpha-(1-methyl-1,3-propanediyl)bis(omega-hydroxy-
- 67892-53-9/N,N''-(methyl-m-phenylene)bis[N'-(1-methyltetradecyl)urea]
- 83285-83-0/Thiazole-4-carboxamide adenine dinucleotide
- 81786-70-1/2,3-dimethyl-2-(1,2,2-trimethylpropyl)oxirane
- 147516-19-6/Disperse orange 69
