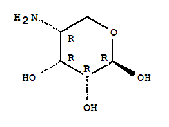
beta-D-Ribopyranose, 4-amino-4-deoxy- (9CI)(757156-35-7)
- Name: beta-D-Ribopyranose, 4-amino-4-deoxy- (9CI)
- Synonyms:beta-D-Ribopyranose, 4-amino-4-deoxy- (9CI)
- Molecular Formula:C5H11 N O4
- Molecular Weight:149.14514
- CAS Registry Number:757156-35-7
- EINECS:
- Melting Point:
- Water Solubility:
Other Product
- 757171-51-0/Benzenamine, 4-ethyl-N-hydroxy-N-nitroso-
- 757168-43-7/1,4-Benzoxazepine,2-ethyl-2,3,4,5-tetrahydro-7-nitro-(9CI)
- 757165-17-6/Benzamide, 4-(1-aminoethyl)-3-hydroxy-N-4-pyridinyl-, (R)- (9CI)
- 757164-04-8/Acetamide, 2-[[2-(dimethylamino)ethyl]thio]- (9CI)
- 757163-76-1/3(2H)-Isoxazolone,5-(1,2,3,6-tetrahydro-4-pyridinyl)-(9CI)
- 757163-15-8/Diazene, hydroxy[(4-methylphenyl)methyl]-, (E)- (9CI)
- 757161-76-5/Cyclopropaneacetic acid, alpha-amino-2-nitro- (9CI)
- 757161-01-6/4,4-Piperidinediol, 3-bromo-1-methyl- (9CI)
- 77303-09-4/1H-Benzimidazole,2-ethyl-4-methyl-(9CI)
- 77303-08-3/1H-Benzimidazole,2-butyl-4-methyl-(9CI)
- 77302-72-8/BOC-L-2-AMINOADIPIC ACID
- 757160-29-5/1H-Pyrrolizine-1,2,6-triol, hexahydro-, (1S,2S,6S,7aS)- (9CI)
- 757159-95-8/alpha-D-Galactofuranosiduronicacid,ethyl(9CI)
- 757159-24-3/Piperidine, 4-(2-methyl-1H-imidazol-4-yl)- (9CI)
- 757158-20-6/1H-1,4,7-Triazonine-1-acetonitrile,octahydro-(9CI)
- 757157-10-1/Benzeneacetic acid, 2-amino-5-methoxy-alpha-oxo- (9CI)
- 77301-47-4/3-BENZOYL BENZOYL CHLORIDE
- 757156-85-7/Cyclopropanecarboxylic acid, 1-amino-2,2,3-trimethyl-, methyl ester, cis- (9CI)
- 757156-35-7/beta-D-Ribopyranose, 4-amino-4-deoxy- (9CI)
- 757153-87-0/1H-Benzimidazol-5-ol, 4-amino-2-methyl- (9CI)
- 757153-78-9/Phenol, 4-(2-amino-1-methylethyl)-, (S)- (9CI)
- 757152-25-3/Thieno[2,3-c]pyridine, 4,5,6,7-tetrahydro-2-methyl- (9CI)
- 757151-41-0/Glycine, N-(4-hydroxy-3-pyridinyl)- (9CI)
- 72242-40-1/1,3-Cyclopentanediol,2-methyl-,diacetate,(1-alpha-,2-alpha-,3-alpha-)-(9CI)
- 72242-39-8/1,3-Cyclopentanediol,2-methyl-,diacetate,(1-alpha-,2-bta-,3-alpha-)-(9CI)
- 757151-39-6/Acetic acid, [4-[(6-hydroxy-4,5,7-trimethyl-2-benzothiazolyl)amino]phenoxy]-, ethyl ester (9CI)
- 72242-38-7/1,3-Cyclopentanediol,2-methyl-,diacetate,(1-alpha-,2-alpha-,3-bta-)-(9CI)
- 72242-31-0/3-THIOPHENECARBOXYLIC ACID-5-METHYL-2-{2-(NITROPHENYL)AMINO}METHYL ESTER
- 757149-14-7/Piperazine, 1-(2-chloro-1-oxobutyl)-4-methyl- (9CI)
- 757147-87-8/Piperazine, 2,3,5-trimethyl-, (2alpha,3beta,5beta)- (9CI)
