Current position:Home >Product >
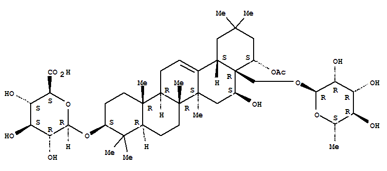
b-D-Glucopyranosiduronic acid, (3b,16b,22a)-22-(acetyloxy)-28-[(6-deoxy-a-L-mannopyranosyl)oxy]-16-hydroxyolean-12-en-3-yl (9CI)
b-D-Glucopyranosiduronic acid, (3b,16b,22a)-22-(acetyloxy)-28-[(6-deoxy-a-L-mannopyranosyl)oxy]-16-hydroxyolean-12-en-3-yl (9CI)(212775-40-1)
- Name: b-D-Glucopyranosiduronic acid, (3b,16b,22a)-22-(acetyloxy)-28-[(6-deoxy-a-L-mannopyranosyl)oxy]-16-hydroxyolean-12-en-3-yl (9CI)
- Synonyms:AlternosideIV
- Molecular Formula:C44H70 O15
- Molecular Weight:
- CAS Registry Number:212775-40-1
- EINECS:
- Melting Point:
- Water Solubility:
Other Product
- 30885-67-7/ethanesulfonic acid - 4-[(3-{[2-chloro-4-(4,6-diamino-2,2-dimethyl-1,3,5-triazin-1(2H)-yl)phenoxy]methyl}benzoyl)amino]benzenesulfonyl fluoride (1:1)
- 624-07-7/Dilauric acid 1,4-butanediyl
- 18190-99-3/4,5-dihydroxy-1-(hydroxymethyl)-3-(methoxymethyl)imidazolidin-2-one
- 1894-71-9/N-[2-chloro-5-(trifluoromethyl)phenyl]-2-phenylacetamide
- 39370-23-5/Copper alloy,base,Cu,Sn,Zn (BrOTs 70)
- 69897-99-0/Hexosamines
- 87979-82-6/Benzeneacetic acid, a-methyl-4-[(1-methyl-2-propyn-1-yl)oxy]-
- 90170-52-8/Aluminum, C14-18 andC16-22-unsatd. fatty acids 12-hydroxyoctadecanoate complexes
- 6307-46-6/4-methyl-6-methylsulfanyl-pyrimidin-2-amine
- 68815-57-6/Poly(oxy-1,2-ethanediyl), alpha-hydro-omega-hydroxy-, mixed esters with fumaric acid and polyethylene glycol mono(nonylphenyl) ether
- 94231-79-5/1,4-dimethyl-9-oxabicyclo[6.1.0]non-4-ene
- 6637-15-6/6,7-dimethoxy-3-(2-methyl-1H-indol-3-yl)-2-benzofuran-1(3H)-one
- 5839-89-4/ethyl 6-bromo-2-{[(4,5-dichloro-3,6-dioxocyclohexa-1,4-dien-1-yl)sulfanyl]methyl}-5-methoxy-1-methyl-1H-indole-3-carboxylate
- 72379-07-8/5-Isobenzofurancarboxylic acid, 1,3-dihydro-1,3-dioxo-, polymers with ethylene glycol, 2-methyl-1,3-benzenediamine, 4-methyl-1,3-benzenediamine, phenol Me derivs. and 1,3,5-tris(2-hydroxyethyl)-1,3,5-triazine-2,4,6(1H,3H,5H)-trione
- 76807-69-7/N-(4-{[(2-amino-4-oxo-1,4-dihydropyrido[3,2-d]pyrimidin-6-yl)methyl]sulfanyl}benzoyl)glutamic acid
- 90552-66-2/Propanoic acid,3,3'-[(dibutylstannylene)bis(thio)]bis-, di-C12-22-alkyl esters
- 160522-87-2/Benzenecarboximidamide,4,4'-(2,4-pyrimidinediyl)bis- (9CI)
- 38481-10-6/methyl borofluoridiodidate
- 430-64-8/CF2=C=CH2
- 212775-40-1/b-D-Glucopyranosiduronic acid, (3b,16b,22a)-22-(acetyloxy)-28-[(6-deoxy-a-L-mannopyranosyl)oxy]-16-hydroxyolean-12-en-3-yl (9CI)
- 37066-82-3/titanium(4+) octane-1,8-diolate
- 18371-12-5/N-{4-[(E)-(2,4-diaminophenyl)diazenyl]phenyl}acetamide
- 132943-52-3/methyl 3-ethyl-1-formyl-8-methoxy-4-oxo-4,6,7,12-tetrahydroindolo[2,3-a]quinolizine-2-carboxylate
- 102641-42-9/kartolin 2
- 59479-66-2/2-(3-hydroxyphenyl)-1H-isoindole-1,3(2H)-dione
- 75510-01-9/6-[(2E)-3-(2,4-dichlorophenyl)prop-2-en-1-yl]-5,6,7,8-tetrahydro-1,6-naphthyridine
- 125666-62-8/oxytocin, Mpa(1)-cyclo(Glu(4)-Lys(8))-
- 68201-73-0/Chromate(5-),bis[4-hydroxy-6-[(2-hydroxy-5-methylphenyl)azo]-3-[(2-hydroxy-5-nitro-3-sulfophenyl)azo]-2-naphthalenesulfonato(4-)]-,pentahydrogen (9CI)
- 91092-34-1/N~4~-(3,4-dichlorophenyl)-N~6~-methyl-5-nitrosopyrimidine-2,4,6-triamine
- 56093-99-3/Pentacidin (9CI)
