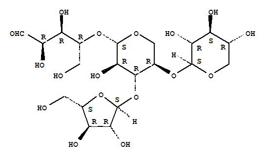
arabinosylxylotriose(84685-94-9)
- Name: arabinosylxylotriose
- Synonyms:Xylose,O-a-L-arabinofuranosyl-(1®3)-O-[b-D-xylopyranosyl-(1®4)]-O-b-D-xylopyranosyl-(1®4)-, D- (7CI)
- Molecular Formula:C20H34 O17
- Molecular Weight:546.47376
- CAS Registry Number:84685-94-9
- EINECS:
- Melting Point:
- Water Solubility:
Other Product
- 33155-60-1/METHYL 4-TERT-BUTYLPHENYLACETATE, 97
- 79713-47-6/8,11,14,17,22,23-hexaoxatricyclo[17.2.1.1~3,6~]tricosa-1(21),3,5,19-tetraene-7,18-dione
- 56688-90-5/(1S)-1,2,3,4-Tetrahydro-8-methoxy-1α,3β-dimethyl-5-[(aR)-4,5-dimethoxy-2-methyl-1-naphthalenyl]isoquinoline-6-ol
- 12020-04-1/DYPROSIUM SELENIDE
- 39009-28-4/Spiro[pyrrolidine-3,2'-tricyclo[3.3.1.13,7]decane],1-methyl-,(2Z)-2-butenedioate (1:1)
- 4370-55-2/2,5-bis[(4-chlorophenyl)amino]cyclohexa-2,5-diene-1,4-dione
- 24974-78-5/1,1,3,3,5,5,7,7-octamethyltetrahydro-1H,5H-[1,2,3,5]diazadisilolo[1,2-a][1,2,3,5]diazadisilole
- 6638-88-6/6-Bromo-3-cyclohexyl-3,4-dihydro-2H-1,3-benzoxazine
- 930-52-9/2-Ethyl-2-imidazoline
- 103602-80-8/9-amino-2,4,4a,5,6,7-hexahydro-3H-benzo[6,7]cyclohepta[1,2-c]pyridazin-3-one
- 64201-66-7/5-nitrofuran-2-yl prop-2-ynoate
- 92551-40-1/2-chlorobenzoic acid - benzyl carbamimidothioate (1:1)
- 90583-21-4/Sulfuric acid, mono-C12-18-alkyl esters, lithium salts
- 67922-89-8/Tall oil fatty acids, neopentyl glycol, trimethylolethane, phthalicanhydride, toluene diisocyanate polymer
- 36311-27-0/Aluminum isooctanoate
- 39997-88-1/2,3,4,4,6-pentaphenyl-4H-1,4-oxaphosphinin-4-ium
- 67526-84-5/Benzocarbazole
- 139975-51-2/2H,4bH-Oxireno[4',4'a]-1-benzopyrano[5',6':6,7]indeno[1,2-b]indole-3,4b-diol,10-(1,1-dimethyl-2-propenyl)-3,3a,5,6,6a,7,12,12b,12c,13,14,14a-dodecahydro-12b,12c-dimethyl-2-(1-methylethenyl)-,(2R,3S,3aR,4aS,4bS,6aS,12bS,12cR,14aS)- (9CI)
- 765-95-7/5-(fluoromethyl)dihydrofuran-2(3H)-one
- 84685-94-9/arabinosylxylotriose
- 5766-70-1/(6-Amino-1,3,5-triazine-2,4-diyldiimino)diacetonitrile
- 133627-13-1/3,N5-Dimethyl-N11-ethyl-5,11-dihydro-6H-dipyrido(3,2-b:2,3-e)(1,4)diazepin-6-one
- 181038-30-2/tert-butyl N-[(1S,2S,4R)-1-benzyl-5-[[(1S)-1-(2-dimethylaminoethylcarbamoyl)-2-methyl-propyl]amino]-2-hydroxy-4-[(4-methoxyphenyl)methyl]-5-oxo-pentyl]carbamate
- 139294-57-8/1H-Xanthene-1,2-diol,3-[(benzoyloxy)methyl]- 2,4a,9,9a-tetrahydro-7-methoxy-,2-acetate 1-benzoate,(1R,2R,4aR,9aR)-rel-(+)-
- 139747-50-5/(1,1-Biphenyl)-4-butanamide, N-butyl-2,4-difluoro-alpha-methyl-gamma-oxo-, (+-)-
- 51733-97-2/1-butoxy-3-(dibutylamino)propan-2-ol hydrochloride
- 116308-66-8/2-(4-dimethylaminophenyl)ethyl methyl 4-(4-cyanopyridin-2-yl)-2,6-dimethyl-1,4-dihydropyridine-3,5-dicarboxylate
- 5186-63-0/5-(1,3-dioxoisoindol-2-yl)-N,N-bis(3-ethynylphenyl)benzene-1,3-dicarboxamide
- 6272-00-0/8-nitronaphthalene-1,3,6-trisulfonic acid
- 59354-73-3/1-(3-(2-Phenyl-1,2-dicarbadodecabaran(12)-1-yl))propylpyridinium bromide
