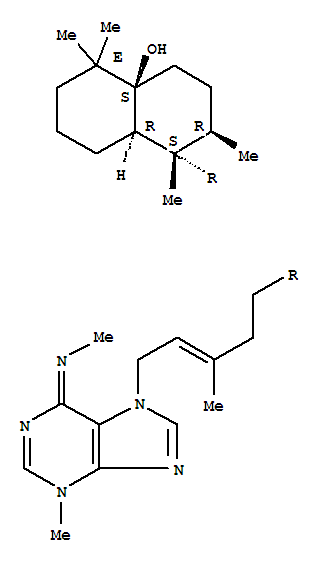
agelasimine A(114216-85-2)
- Name: agelasimine A
- Synonyms:4a(2H)-Naphthalenol,1-[(3E)-5-[3,6-dihydro-3-methyl-6-(methylimino)-7H-purin-7-yl]-3-methyl-3-pentenyl]octahydro-1,2,5,5-tetramethyl-,(1S,2R,4aS,8aR)- (9CI); 4a(2H)-Naphthalenol,1-[5-[3,6-dihydro-3-methyl-6-(methylimino)-7H-purin-7-yl]-3-methyl-3-pentenyl]octahydro-1,2,5,5-tetramethyl-,[1S-[1a(E),2b,4ab,8aa]]-; (+)-Agelasimine A;Agelasimine A
- Molecular Formula:C27H43 N5 O
- Molecular Weight:453.66
- CAS Registry Number:114216-85-2
- EINECS:
- Melting Point:
- Water Solubility:
Other Product
- 13146-43-5/2-ethyl-2-methyl-1-(morpholin-4-yl)hexan-1-one
- 66172-83-6/bis[20-(dinonylphenoxy)-3,6,9,12,15,18-hexaoxaicosyl] hydrogen phosphate
- 30238-40-5/4H-Pyrido(1,2-a)pyrimidine-3-carboxylic acid, 1,6,7,8,9,9a-hexahydro-1 ,6-dimethyl-4-oxo-, ethyl ester
- 69578-86-5/methyl (3E)-3-[2-(6-chloropyridazin-3-yl)hydrazinylidene]butanoate
- 31164-83-7/1,3-bis[(benzyloxy)methyl]-5-(pentan-2-yl)-5-(prop-2-en-1-yl)pyrimidine-2,4,6(1H,3H,5H)-trione
- 57464-52-5/1-methyl-N-[6-(methylsulfanyl)-9H-purin-9-yl]-5-oxopyrrolidine-3-carboxamide
- 72828-70-7/4-amino-3-[[5-[(5-chloro-2,6-difluoro-4-pyrimidinyl)amino]-2-sulphophenyl]azo]-6-[(2,5-disulphophenyl)azo]-5-hydroxynaphthalene-2,7-disulphonic acid, potassium sodium salt
- 87035-67-4/(12aS)-9-methoxy-1-methyl-2,3,12,12a-tetrahydro-1H-[1]benzoxepino[2,3,4-ij]isoquinoline-6,8-diol
- 16343-08-1/1-Hexaneboronic acid
- 4037-12-1/Phosphonic acid, (1,2-butadienyl-3-methyl), dimethyl ester
- 23600-76-2/o-bromophenyl propionate
- 143458-82-6/SO 75R1
- 4206-61-5/DIETHYLENGLYKOL-DIGLYCIDYLETHER
- 20030-91-5/5H-inden-5-one, 6-chlorooctahydro-, (3aR,6R,7aR)-
- 76939-66-7/2-[[3-[(1-oxoheptyl)oxy]-2,2-bis[[(1-oxoheptyl)oxy]methyl]propoxy]methyl]-2-[[(1-oxoheptyl)oxy]methyl]propane-1,3-diyl bisheptanoate
- 23549-53-3/N-butyryl-N-butylurea
- 156-51-4/PHENELZINE SULFATE SALT
- 128007-31-8/ARVANIL
- 142102-81-6/1-[(6R,8R,9R)-4-amino-9-{[tert-butyl(dimethyl)silyl]oxy}-6-({[tert-butyl(dimethyl)silyl]oxy}methyl)-2,2-dioxido-1,7-dioxa-2-thiaspiro[4.4]non-3-en-8-yl]-5-methyl-3-(prop-2-en-1-yl)pyrimidine-2,4(1H,3H)-dione
- 114216-85-2/agelasimine A
- 139051-63-1/Helianthoside 1
- 11103-94-9/C.I. Acid Yellow 116:1(9CI)
- 127105-48-0/gamma-tetrazole-methotrexate
- 43088-42-2/Ethyl 2-amino-4-methylthiophene-3-carboxylate
- 152537-64-9/4-ethyl-4-{[(7-methyl[1,2,4]triazolo[1,5-b]pyridazin-6-yl)oxy]methyl}hexane-1-sulfonamide
- 102585-61-5/acetic acid, [(2-hydroxyphenyl)thio]-, diantimony calcium salt, tetrahydrate
- 63746-95-2/S-(2-hydroxyphenyl) (2-methyl-5-nitrophenyl)carbamothioate
- 99781-76-7/Hydroxypentadiene, maleic anhydride, diethylene glycol, propylene glycol, alcanoic acid (C = 10) glycidil ester polymer
- 34420-17-2/Phenethylboronic acid
- 89353-91-3/(1beta,2alpha,11alpha,12alpha)-1,2,11,12-tetrahydroxy-11,20-epoxypicrasa-3,13(21)-dien-16-one
