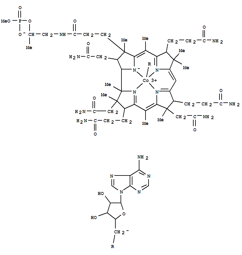
adenosylcobinamide methyl phosphate(147736-07-0)
- Name: adenosylcobinamide methyl phosphate
- Synonyms:Cobinamide,Co-(5'-deoxyadenosine-5') deriv., methyl hydrogen phosphate (ester), innersalt; Cobinamide, Co-(5'-deoxyadenosin-5'-yl)-, methyl hydrogen phosphate(ester), inner salt
- Molecular Formula:C59H86 Co N16 O14 P
- Molecular Weight:1332.311961
- CAS Registry Number:147736-07-0
- EINECS:
- Melting Point:
- Water Solubility:
Other Product
- 61901-87-9/Solvent Black 29
- 88972-52-5/Odoroside K
- 73019-23-5/2,2-(Methylimino)bis(N-methyl-N,N-bis(phenylmethyl)ethanaminium), bis(methylsulfate)
- 159929-77-8/3-[6-(2,4-dichlorophenyl)-7H-[1,2,4]triazolo[3,4-b][1,3,4]thiadiazin-3-yl]-2H-chromen-2-one
- 25168-10-9/Naphthylamine
- 174286-08-9/EDO (dopant)
- 4100-80-5/METHYLSUCCINIC ANHYDRIDE
- 30723-93-4/2-hydroxybutane-2-sulfonic acid
- 23152-29-6/Virginiamycin S1
- 58978-17-9/Hexanal, 5-methyl-2- (1-methylethylidene)-
- 85342-32-1/MR 14107
- 25718-70-1/Hexanedioic acid, polymer with 1,3-benzenedimethanamine
- 1772-81-2/3-(2-methylphenyl)-2-[(E)-2-pyridin-4-ylethenyl]quinazolin-4(3H)-one
- 58977-60-9/Abricycline E
- 13566-06-8/vanadium(2+) sulfate
- 74039-62-6/8-Allyltheophyline
- 5418-78-0/1-METHYL-2-(3-NITROSTYRYL)QUINOLINIUMIODIDE
- 57103-69-2/Maytansine, O3-acetyl-O3-de2-(acetylmethylamino)-1-oxopropyl-
- 82708-31-4/oocyte maturation inhibitor
- 147736-07-0/adenosylcobinamide methyl phosphate
- 33024-57-6/1-cyclohex-2-en-1-yl-3-methylurea
- 40560-63-2/benzenethiolate; trimethyllead
- 71861-76-2/1-acetyl-3,2-toluyl-5-fluorouracil
- 21092-64-8/1-{5-methyl-2-[2-(morpholin-4-yl)ethoxy]phenyl}propan-1-one hydrochloride (1:1)
- 66748-41-2/5-hydroxy-6-{[(1-methylethyl)amino]methyl}-4-oxo-4H-pyran-2-carboxylic acid
- 37425-10-8/9H-Purine, 2-(4-cinnamyl-1-piperazinyl)-, dihydrochloride
- 88194-25-6/D-Glutamic acid,N-[(1S)-4-amino-1- carboxy-4-oxobutyl]-
- 191985-77-0/Poly[[5,5'-bi-1H-benzimidazole]-2,2'-diyl-1,4- phenyleneoxy-1,4-phenylene(phenylphosphinylidene)- 1,4-phenyleneoxy-1,4-phenylene]
- 116989-87-8/6H-Indolo[2,3-b]quinoxaline-6-aceticacid, 2-[(4-methoxyphenyl)methylene]hydrazide
- 86640-32-6/Dibenz(b,e)(1,4)oxazepine-11-ethanamine, 5,11-dihydro-5-ethyl-N,N-dime thyl-, (+-)-, (E)-2-butenedioate (1:1)
