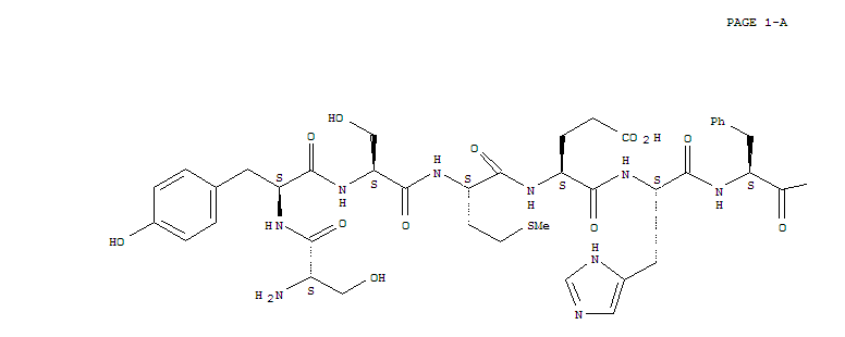
acethropan-S(20566-04-5)
- Name: acethropan-S
- Synonyms:ACTH1-23;Acethropan S
- Molecular Formula:C131H203 N39 O30 S
- Molecular Weight:2836.32
- CAS Registry Number:20566-04-5
- EINECS:
- Melting Point:
- Water Solubility:
Other Product
- 84067-33-4/RESTRICTION ENDONUCLEASE BAN II FROM*BACILLUS ANEURI
- 84308-99-6/N-(3-Dimethylamino-2-methylpropyl)-2',6'-dimethyl-2-phenylacetanilide
- 3439-38-1/ETHYLTRIMETHYLSILANE
- 66794-74-9/Encainide hydrochloride
- 70247-90-4/2,5-Furandione, homopolymer, sodium salt
- 20001-36-9/propyl 5-nitrofuran-2-carboxylate
- 19415-92-0/1,3-Bis(acryloylaminomethyl)-2-imidazolidone
- 80693-00-1/Bis(2,6-di-ter-butyl-4-methylphenyl)pentaerythritol-diphosphite
- 64742-25-2/Lubricating oils, (petroleum), acid-treated spent
- 84881-71-0/2'-deoxyguanosine-3'-(phospho-2''-O-glycolic acid)
- 53000-09-2/4-acetyl-5-phenyldihydrofuran-2(3H)-one
- 98645-85-3/4,7-Diphenyl-1,10-phenanthroline, 2,9-dimethyl disulfonate, disodium salt
- 134998-76-8/3-nitroso-7,8,9,10-tetrahydrobenzo(a)pyrene
- 7205-90-5/CHLOROMETHYL 4-CHLOROPHENYL SULFIDE
- 4082-49-9/3-[(1-cyclohexylpropan-2-yl)(methyl)amino]-2-methyl-1,1-diphenylpropan-1-ol hydrochloride (1:1)
- 178980-07-9/{5-[(3,5-dichlorophenyl)sulfonyl]-4-(1-methylethyl)-1H-imidazol-2-yl}methanol
- 71007-45-9/5-bromo-3-methoxy-9-oxo-6,7,8,9-tetrahydro-5H-benzo[7]annulen-2-yl acetate
- 1101-84-4/N-EPSILON-DANSYL-L-LYSINE
- 15679-19-3/2-Ethoxythiazole
- 20566-04-5/acethropan-S
- 119619-78-2/ThioGar
- 19395-62-1/N~9~-[3-(dimethylamino)propyl]acridine-1,9-diamine dihydrochloride
- 33369-46-9/ethyl 3-carboxy-1,4-dimethyl-1H-pyrrole-2-acetate
- 79962-66-6/2,4-IMIDAZOLIDINEDIONE, 3-(3-AMINO-1-OXOPROPYL)-1-(((5-(4-CHLORO-3-(TR IFLUOROMET
- 21333-21-1/6-[(diphenylmethyl)amino]pyrimidine-2,4(1H,3H)-dione
- 70993-90-7/diaminobutanoylglycyl-D-seryl-Dtryptophyl-L-seryl-L-2,4-diaminobutanoyl-D-2,4-diaminobutanoyl-L-valyl-L-r-glutamyl-L-valyl-Dalloisoleucyl-
- 73466-15-6/S-nitrosopenicillamine
- 39217-31-7/hydroxymethylglyoxal phosphate
- 11116-03-3/PLUTONIUMOXIDE
- 94714-56-4/Trigofoenoside F
