Current position:Home >Product >
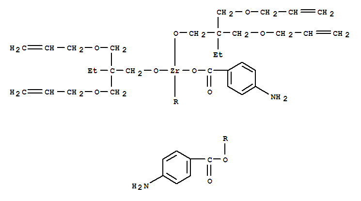
Zirconium, bis(4-aminobenzoato-.kappa.O)bis2,2-bis(2-propenyloxy)methyl-1-butanolato-.kappa.O-, (T-4)-
Zirconium, bis(4-aminobenzoato-.kappa.O)bis2,2-bis(2-propenyloxy)methyl-1-butanolato-.kappa.O-, (T-4)-(146955-66-0)
- Name: Zirconium, bis(4-aminobenzoato-.kappa.O)bis2,2-bis(2-propenyloxy)methyl-1-butanolato-.kappa.O-, (T-4)-
- Synonyms:Zirconium,bis(4-aminobenzoato-O)bis[2,2-bis[(2-propenyloxy)methyl]-1-butanolato-O1]-,(T-4)-; Zirconium, bis(4-aminobenzoato-kO)bis[2,2-bis[(2-propenyloxy)methyl]-1-butanolato-kO]-, (T-4)- (9CI); NZ 37
- Molecular Formula:C38H54 N2 O10 Zr
- Molecular Weight:790.08
- CAS Registry Number:146955-66-0
- EINECS:
- Melting Point:
- Water Solubility:
Other Product
- 149507-90-4/Unranoside B
- 95685-37-3/Bicyclo(3.2.1)octane-3-carboxylic acid, 3-methyl-, sodium salt
- 52483-83-7/Spiro(2,8,9-trioxa-1-phosphatricyclo(3.3.1.13,7)decane-1,4-trioxaphosphetane)
- 40811-59-4/2,3-bis[(9Z,12Z,15Z)-octadeca-9,12,15-trienoyloxy]propyl 2-(trimethylammonio)ethyl phosphate
- 4922-73-0/N-benzylidene[1,2,4]triazolo[4,3-a]pyridin-3-amine
- 60110-48-7/Octahydro-3H-4,1,2-benzoxadiazin-3-one
- 77355-55-6/2'H-Estr-4-eno[4,5,6-cd]pyrazole
- 5257-82-9/N-(4-methoxy-2,5-dimethylbenzyl)-N,1-dimethylpiperidin-4-amine
- 85116-78-5/Fatty acids, C12-18 and C12-18-iso, mixed esters with glycerol andpropylene glycol
- 40520-36-3/N-(4-methoxy-2-methylphenyl)-4,5-dihydro-1,3-oxazol-2-amine
- 95893-28-0/1-((Dimethylamino)carbonyl)-3-methyl-1H-imidazolium perchlorate
- 26140-65-8/2-Propenoic acid, ethyl ester, polymer with ethene, ethenylbenzene and 2-propenenitrile
- 40889-47-2/ethyl (6-bromo-2-methyl-4-oxoquinazolin-3(4H)-yl)acetate
- 113387-71-6/5-phenyl-3-(1H-pyrazol-1-yl)thieno[2,3-d]isothiazole 1,1-dioxide
- 33962-44-6/2-(6-amino-9H-purin-9-yl)-4-(hydroxymethyl)tetrahydrofuran-3,4-diol
- 91714-93-1/Bromfenac sodium
- 15234-85-2/4-OCTYLPHENOXY-ACETIC ACID
- 629-99-2/N-PENTACOSANE
- 146955-66-0/Zirconium, bis(4-aminobenzoato-.kappa.O)bis2,2-bis(2-propenyloxy)methyl-1-butanolato-.kappa.O-, (T-4)-
- 13322-02-6/4-(BROMOMETHYL)-5-METHYL-2-PHENYL-2H-1,2,3-TRIAZOLE
- 399-63-3/Benzo-2-germa-1,3-dithiolan
- 85928-57-0/2-BROMO-7-METHOXY-3,4-DIHYDRONAPHTHALEN-1(2H)-ONE
- 57425-25-9/4'-O-(Tetrahydro-6-methyl-5-oxo-2H-pyran-2-yl)Cirramycin A1
- 68411-82-5/1,2-Bis(2-nor(tallow alkyl)-2-imidazolin-1-yl)ethane
- 5554-55-2/2,6-diphenylpiperidin-4-one
- 6851-93-0/Ethanethial
- 1048-08-4/TETRAPHENYLSILANE
- 6406-87-7/trisodium 5-[(7-amino-1-hydroxy-3-sulphonato-2-naphthyl)azo]-8-[[4-(phenylazo)-7-sulphonatonaphthyl]azo]naphthalene-2-sulphonate
- 68560-30-5/(E)-3,4-Dimethoxy-[2,2'-bipyridine]-6-carbaldehyde oxime
- 30146-48-6/N~4~-[2-(2-chlorophenyl)pyrido[3,4-b]pyrazin-5-yl]-N~1~,N~1~-diethylpentane-1,4-diamine
