Uperin 7.1.1 (9CI)(200501-48-0)
- Name: Uperin 7.1.1 (9CI)
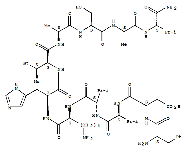
- Synonyms:L-Valinamide,L-phenylalanyl-L-a-aspartyl-L-valyl-L-valyl-L-lysyl-L-histidyl-L-isoleucyl-L-alanyl-L-seryl-L-alanyl-
- Molecular Formula:C55H89 N15 O14
- Molecular Weight:
- CAS Registry Number:200501-48-0
- EINECS:
- Melting Point:
- Water Solubility:
Other Product
- 28413-93-6/(1R,2S,3S)-2,3-dihydroxy-3-methyl-5-methylidene-4-oxo-2-(propan-2-yl)cyclopentanecarboxylic acid
- 33425-46-6/1-(propan-2-yl)pyrrolidine-2,5-dione
- 7151-98-6/3-benzyl-7-pentofuranosyl-3,7-dihydro-6H-purin-6-one
- 502685-91-8/5-(4-Bromobenzyl)-4H-1,2,4-triazol-3-amine
- 71925-32-1/1,4-dihydro-1,4-methanonaphthalene-2,5-dicarbonitrile
- 38861-81-3/1-[4-(2-methylpentyl)phenyl]ethanone
- 26446-34-4/5-Hydroxyhexanoic acid, monoester with glycerol
- 57547-74-7/[4-(propan-2-yl)phenyl]methanediyl dipropanoate
- 5736-80-1/3-{[(4-fluorophenyl)sulfonyl]amino}-4-methoxybenzamide
- 94781-96-1/N-[(1R)-7-(methoxymethyl)-2,3-dihydro-1H-pyrrolizin-1-yl]guanosine
- 4354-34-1/N~2~-(4-chlorophenyl)-N~2~-(methylsulfonyl)-N-naphthalen-1-ylglycinamide
- 71254-57-4/(6R)-3-acetyl-4-ethyl-6-methyl-5,6-dihydro-2H-1,4lambda~4~-oxathiin-2-one
- 7596-58-9/2,2,2-trifluoro-N-(2-{[(4-methylphenyl)sulfonyl]amino}-9H-fluoren-3-yl)acetamide
- 92059-44-4/2-[(furan-2-ylmethyl)carbamoyl]benzoic acid
- 141544-70-9/Acetic acid,2-hydroxy-,(2S,3S,4aS,5S,8aR)-decahydro-2-methyl-5-(1E,3E)-1,3-octadien-1-yl-3-quinolinylester
- 200501-48-0/Uperin 7.1.1 (9CI)
- 94279-10-4/3-hydroxy-2-[[(4-methylphenyl)sulphonyl]oxy]propyl tert-decanoate
- 10406-94-7/1H-Benzimidazole,6-chloro-1-methyl-(9CI)
- 5488-74-4/3-{(E)-[(4,6-dimorpholin-4-yl-1,3,5-triazin-2-yl)hydrazono]methyl}phenyl benzoate
- 11100-25-7/Fumitremorgin
- 92838-46-5/3-methyl-2-(2,2,2-trifluoroethoxy)-1,3,2-oxazaphospholidine
- 90218-82-9/Benzo[h]benz[5,6]acridino[2,1,9,8-klmna]acridine-8,16-dione,(1,3-dihydro-1,3-dioxo-2H-isoindol-2-yl)methyl derivs.
- 84030-07-9/cyclohexyldioctylphosphine
- 82198-76-3/VancoMycin Aglycon
- 149250-10-2/L-Phenylalaninamide,1-(3-carboxy-1-oxopropyl)-N-[2-[(3S,9aS)-octahydro-1,4-dioxo-6,9-ethano-2H-pyrido[1,2-a]pyrazin-3-yl]acetyl]-D-tryptophyl-N-methyl-N-(phenylmethyl)-,sodium salt (1:1)
- 93858-28-7/8-amino-5-[[4-[(4,6-dichloro-1,3,5-triazin-2-yl)amino]-3-sulphophenyl]amino]-9,10-dihydro-9,10-dioxoanthracene-1,7-disulphonic acid
- 22151-64-0/N-(2,6-dimethylphenyl)-N~2~-(2-methoxyethyl)glycinamide
- 149429-23-2/5H-Benzo[f]pyrido[4,3-b]indole
- 133049-44-2/DTPA-4-aminobutane-1,1-diphosphonate
- 6633-80-3/N~2~,N~2~,N~2~,N~2~,N~4~,N~4~,N~4~,N~4~,N~6~,N~6~-decamethyl-1,3,5,2lambda~5~,4lambda~5~,6lambda~5~-triazatriphosphinine-2,2,4,4,6,6-hexamine
