Current position:Home >Product >
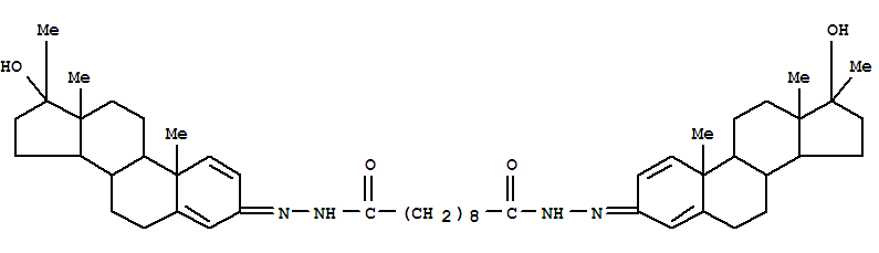
Sebacic acid, bis[(17b-hydroxy-17-methylandrosta-1,4-dien-3-ylidene)hydrazide](8CI)
Sebacic acid, bis[(17b-hydroxy-17-methylandrosta-1,4-dien-3-ylidene)hydrazide](8CI)(15437-53-3)
- Name: Sebacic acid, bis[(17b-hydroxy-17-methylandrosta-1,4-dien-3-ylidene)hydrazide](8CI)
- Synonyms:Androsta-1,4-dien-3-one,17b-hydroxy-17-methyl-,sebacoyldihydrazone
- Molecular Formula:C50H74 N4 O4
- Molecular Weight:
- CAS Registry Number:15437-53-3
- EINECS:
- Melting Point:
- Water Solubility:
Other Product
- 60723-27-5/(-)-(S)-Physoperuvine
- 224-11-3/[1,3]Dioxolo[4,5-j]phenanthridine
- 184770-01-2/Ritterazine V
- 85204-29-1/[4-(1,1-dimethylethyl)cyclohexyl]methyl isobutyrate
- 149625-29-6/6-acetyl-1,9-bis(butylamino)-3,7,11,12-tetramethoxy-5-methyl-2H-cyclohepta[ghi]perylene-2,8(4H)-dione
- 17400-34-9/N-CARBOBENZOXY-1,3-DIAMINOPROPANE HYDROCHLORIDE
- 6793-70-0/17-Methoxy-1-[(E)-1-oxo-3-phenyl-2-propenyl]aspidospermidin-21-oic acid methyl ester
- 68213-84-3/(1,1-Biphenyl)-2-ol, diisopropanolamine salt
- 24269-54-3/ethyl 4-[2-(cyclohexylamino)ethyl]piperazine-1-carboxylate hydrochloride (1:1)
- 57611-58-2/methyl 4-amino-1-benzylpiperidine-4-carboxylate ethanedioate
- 30880-00-3/2,5-Cyclohexadien-1-one,2-[[3-[[2,6-dihydroxy-4-methoxy-3-methyl-5-(1-oxobutyl)phenyl]methyl]-2,4,6-trihydroxy-5-(1-oxobutyl)phenyl]methyl]-3,5-dihydroxy-4,4-dimethyl-6-(1-oxobutyl)-
- 52769-39-8/3-[[4-[benzylmethylamino]phenyl]azo]dimethyl-1H-1,2,4-triazolium trichlorozincate(1-)
- 6335-00-8/(6E)-6-imino-1-[2-methyl-4-(propan-2-yl)phenyl]-1,6-dihydro-1,3,5-triazine-2,4-diamine
- 73771-60-5/tricyclo[3.2.1.0~2,4~]oct-1-ylmethyl phenylcarbamate
- 7178-46-3/1,5,6,10-tetraphenyldeca-1,9-diene-3,8-dione
- 15437-53-3/Sebacic acid, bis[(17b-hydroxy-17-methylandrosta-1,4-dien-3-ylidene)hydrazide](8CI)
- 33549-66-5/4,4-Dibromo-3-methyl-2-pyrazolin-5-one, 98+%
- 82745-72-0/2-(4-methylphenyl)sulfonyloxybenzoic acid
- 15832-57-2/(~162~Tm)thulium
- 57056-57-2/EBPC
- 39177-15-6/(1E,3E,8E,10E)-2,3,9,10-tetramethyl-1,4,8,11-tetraazacyclotetradeca-1,3,8,10-tetraene - dibromocobalt (1:1)
- 160219-99-8/2-Naphthalenesulfonic acid,polymer with formaldehyde and sulfonylbis[phenol],sodium salt
- 73724-45-5/Fmoc-L-Serine
- 95188-24-2/S 2646
- 26921-64-2/Spiro[furan-3(2H),2'-tricyclo[3.3.1.13,7]decane],dihydro-
- 73839-88-0/1-[4-(2-morpholin-4-ylethoxy)phenyl]-3-piperidin-1-ylpropan-1-one hydrochloride
- 6277-24-3/2-{(2E)-2-[4-(propan-2-yl)benzylidene]hydrazinyl}-1,3-benzothiazole
- 178869-93-7/2-methylprop-2-en-1-yl 2-chloro-5-{[(2-methylfuran-3-yl)carbonothioyl]amino}benzoate
- 6357-94-4/4,7-dihydroxynaphthalene-2-sulphonic acid
- 39924-40-8/Ethyl (2E,4Z)-undeca-2,4-dienoate
