SS 554(84396-34-9)
- Name: SS 554
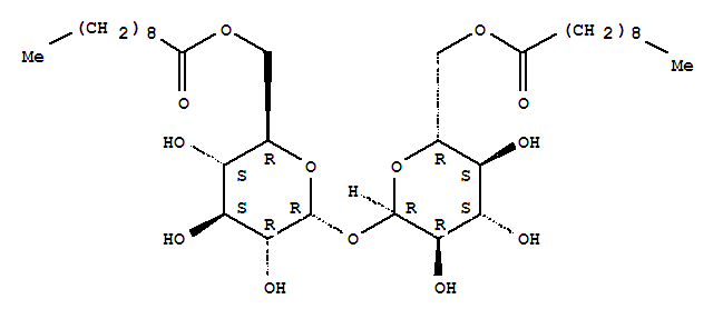
- Synonyms:SS554; a,a-Trehalose 6,6'-didecanoate
- Molecular Formula:C32H58 O13
- Molecular Weight:650.79512
- CAS Registry Number:84396-34-9
- EINECS:
- Melting Point:
- Water Solubility:
Other Product
- 83713-05-7/disialosyl paragloboside
- 55035-43-3/1,4-BIS[2-[4-[N,N-DI(P-TOLYL)AMINO]PHENYL]VINYL]BENZENE
- 132304-30-4/N-(5-methyl-1,3,4-thiadiazol-2-yl)-N~2~,N~2~-dipropylglycinamide
- 42773-61-5/2-(3-ethoxy-2-oxo-3-phenyl-2,3-dihydro-1H-indol-1-yl)-N-ethylethanaminium chloride
- 69440-99-9/Thymalfasin
- 22820-24-2/1-(4-chlorophenoxy)-3-{[2-(morpholin-4-yl)ethyl](propyl)amino}propan-2-ol dihydrochloride
- 74499-28-8/C13-Neoacid bottoms, zinc salt
- 69466-54-2/3-Methoxy-5-(α,α,α-trifluoro-m-tolyl)-1,2,4-triazine
- 16962-47-3/AMMONIUM HEXAFLUOROGERMANATE
- 6959-55-3/4-(5,6,7,8-tetramethoxy-4-oxo-4H-chromen-2-yl)phenyl acetate
- 60408-90-4/129496-48-6
- 73940-88-2/Benzoic acid, p-iodo-, tributylstannyl ester
- 148011-51-2/Imidazo[1,5-a]quinoxaline-5(4H)-carboxamide,3-(5-cyclopropyl-1,2,4-oxadiazol-3-yl)-N,N-dimethyl-
- 130752-98-6/5'-Thymidylic acid,dipropyl ester, 3'-methanesulfonate (9CI)
- 84396-34-9/SS 554
- 2906-78-7/2-(2,3-dihydro-1,4-benzodioxin-6-yloxy)-N,N-diethylethanamine hydrochloride (1:1)
- 2008-75-5/2-Piperidinoethylchloride hydrochloride
- 14668-12-3/(2beta,3alpha,5alpha,8xi,9xi,14xi)-3-(acetyloxy)-2-(1-methylpyrrolidinium-1-yl)-17-oxoandrostane bromide
- 74958-13-7/(1R)-1-methyl-2,3,4,5,6,7-hexahydro-1H-1,6-methano-4-benzazonin-10-ol
- 93762-72-2/Agkistrodon contortrix, ext.
- 155761-99-2/ranalexin
- 1729-61-9/4-(fluoren-9-ylidenemethyl)benzenecarboximidamide
- 6029-87-4/fulvine
- 89427-06-5/4-bromo-6-tert-butyl-2-(trifluoromethyl)-1H-benzimidazole
- 61374-51-4/BIS(METHYLCYCLOPENTADIENYL)NIOBIUM DICHLORIDE
- 99035-65-1/2,7-Naphthalenedisulfonic acid, 4-amino-5-hydroxy-, diazotized, coupled with diazotized 2-((4-aminophenyl)amino)-5-nitrobenzenesulfonic acid, diazotized 2-chloro-4-nitrobenzenamine and 5,5-oxybis(1,3-benzenediol), sodium salts
- 137460-77-6/sorocein A
- 209860-02-6/Keramamide L
- 20937-44-4/Cyclopentylamine, 1-benzyl-, hydrochloride
- 25433-45-8/N-ethyl-4-(furan-2-yl)-N,N-dimethylbutan-2-aminium iodide
