SDZ 880-431(101662-30-0)
- Name: SDZ 880-431
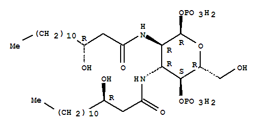
- Synonyms:a-D-Glucopyranose,2,3-dideoxy-2,3-bis[(3-hydroxy-1-oxotetradecyl)amino]-, 1,4-bis(dihydrogenphosphate), [2(R),3(R)]-; SDZ 880-431
- Molecular Formula:C34H68 N2 O14 P2
- Molecular Weight:790.859
- CAS Registry Number:101662-30-0
- EINECS:
- Melting Point:
- Water Solubility:
Other Product
- 25757-73-7/Phosphoramidousdichloride (8CI,9CI)
- 1462-70-0/N-{3-[(4-aminobenzoyl)oxy]propyl}-N-butyl-N-methylbutan-1-aminium
- 90084-76-7/4-bromo-6-oxabicyclo[3.2.1]octan-7-one
- 5186-40-3/1-[3-[(E)-3-[4-[(E)-3-[3-(2,5-dioxopyrrol-1-yl)phenyl]-3-oxo-prop-1-enyl]phenyl]prop-2-enoyl]phenyl]pyrrole-2,5-dione
- 78220-02-7/N,N-bis(2-chloroethyl)-4-methyl-2-oxo-6-propyl-1-oxa-3-aza-2$l^{5}-pho sphacyclohexan-2-amine
- 184649-96-5/Methanone,(1-hydroxycyclohexyl)phenyl-,mixt. with bis(2,6-dimethoxybenzoyl)(2,4,4-trimethylpentyl) phosphine oxide
- 10337-83-4/4,8,9-trimethyl-2H-furo[2,3-h]chromen-2-one
- 149183-67-5/tripdioltonide
- 133992-79-7/3-PHENYL-2-(4,4,4-TRIFLUORO-3-OXO-BUT-1-ENYLAMINO)-PROPIONIC ACID
- 6968-28-1/4-Bromophthalic acid
- 167-36-2/Cyclopenta[7,8]chryseno[4b,5-b]oxirene(9CI)
- 1392-86-5/Phalamycin
- 14685-41-7/(3S)-3',4'-Didehydro-1',2'-dihydro-1',3-dihydroxy-β,ψ-caroten-4-one
- 6448-59-5/(2E)-2-(1H-benzimidazol-2-yl)-3-(5-nitrofuran-2-yl)prop-2-enenitrile
- 20298-95-7/MYO-INOSITOL 1,3,4,5,6-PENTAKIS-PHOSPHATE
- 18537-91-2/2-Hexenamide,4-(2-furanylmethylene)-
- 120178-77-0/placental ribonuclease inhibitor
- 91366-65-3/ABD-F
- 101662-30-0/SDZ 880-431
- 69619-02-9/L-Threonine,N-[4-[[2-[[[6-amino-2-[(1S)-3-amino-1-[[(2S)-2,3-diamino-3-oxopropyl]amino]-3-oxopropyl]-5-methyl-4-pyrimidinyl]carbonyl]amino]-3-(1H-imidazol-4-yl)-1-oxopropyl]amino]-2,4,5-trideoxy-2-methyl-D-arabinonoyl]-(9CI)
- 21209-03-0/5-(2-sulfosulfanylethylamino)pentylcyclohexane
- 13184-80-0/2,2'-[oxybis(methylene)]bis[2-[(nitrooxy)methyl]propane-1,3-diyl] tetranitrate
- 65225-88-9/N-(4-methyl-1,2,5-oxadiazol-3-yl)acetamide
- 121051-68-1/L-Tyrosine,L-seryl-L-seryl-L-cysteinylglycyl-L-arginyl-L-isoleucyl-L-a-aspartyl-L-arginyl-L-isoleucylglycyl-L-serylglycyl-L-leucylglycyl-L-cysteinyl-L-asparaginyl-L-seryl-L-phenylalanyl-L-arginyl-(9CI)
- 1012-84-6/PENTACHLOROBENZOIC ACID
- 186685-58-5/Albatrossidine
- 68698-85-1/2-heptadec-8-enyl-4,5-dihydro-1-(2-hydroxyethyl)-1H-imidazole phosphate
- 107221-01-2/Tetracosanamide,N-[1-[[[O-2-(acetylamino)-2-deoxy-b-D-galactopyranosyl-(1®4)-O-[2-(acetylamino)-2-deoxy-b-D-glucopyranosyl-(1®3)]-O-b-D-galactopyranosyl-(1®4)-b-D-glucopyranosyl]oxy]methyl]-2-hydroxy-3-heptadecenyl]-,[R-[R*,S*-(E)]]- (9CI)
- 182267-24-9/Monankarin D
- 102-48-7/3,4-Dimethylbenzylamine
