Puwainaphycin C (9CI)(121596-40-5)
- Name: Puwainaphycin C (9CI)
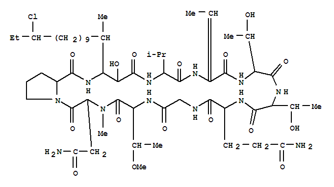
- Synonyms:1H-Pyrrolo[2,1-c][1,4,7,10,13,16,19,22,25,28]decaazacyclohentriacontine,cyclic peptide deriv.; Cyclo[(E)-2,3-didehydro-2-aminobutanoyl-L-threonyl-L-threonyl-L-glutaminylglycyl-O-methyl-L-threonyl-N2-methyl-L-asparaginyl-L-prolyl-14-chloro-2-hydroxy-4-methyl-3-aminohexadecanoyl-L-valyl]
- Molecular Formula:C56H95 Cl N12 O16
- Molecular Weight:
- CAS Registry Number:121596-40-5
- EINECS:
- Melting Point:
- Water Solubility:
Other Product
- 135488-98-1/Isothiazolo(4,3:4,5)thieno(3,2-d)-1,2,3-triazin-4(1H)-one, 8-(methylthio)-
- 62251-45-0/2-bromo-8-methyl-8-azabicyclo[3.2.1]octan-3-one
- 103106-46-3/hydrophobic protein, transmissible gastroenteritis virus
- 1538-62-1/TRIPHENYLANTIMONY DIACETATE
- 69726-15-4/Ethanaminium, N,N,N-trimethyl-2-((2-methyl-1-oxo-2-propenyl)oxy)-, chloride, polymer with 2-propenamide and 2-propenoic acid
- 48172-10-7/(2S)-4-(1,3-Dioxoisoindolin-2-yl)-2-hydroxybutanoic acid
- 54004-82-9/alpha-Methyl-omega-hydroxypoly(oxy(methyl-1,2-ethanediyl))
- 181482-91-7/Hypsiziprenol A8
- 5336-78-7/(2E)-3-phenyl-1-(4-{[(1E)-phenylmethylidene]amino}phenyl)prop-2-en-1-one
- 184485-68-5/Rhoiptelol A
- 67036-33-3/CHLOROAC-ASP-OH
- 2687-96-9/1-Lauryl-2-pyrrolidone
- 104450-33-1/2-(Ethoxymethyl)-4-(2-hydroxy-3-(isopropylamino)propoxy)acetophenone fumarate (2:1)
- 36531-26-7/OXANTEL
- 64038-96-6/4-(2,4,5-Trimethoxybenzoyl)morpholine
- 3820-69-7/tris(4-ethylphenyl) phosphate
- 623-90-5/bis(2-ethoxyethyl) maleate
- 2016-63-9/BAMIFYLLINE
- 5418-42-8/4-{[4-hydroxy-5-methyl-2-(propan-2-yl)phenyl]imino}cyclohexa-2,5-dien-1-one
- 121596-40-5/Puwainaphycin C (9CI)
- 116422-39-0/(S)-(+)-1-METHOXY-2-PROPANOL
- 69483-20-1/Spiro[furan-2(5H),9'-[9H]imidazo[1,2-a]indole]- 3',5(2'H)-dione,1',3,4,9'a-tetrahydro-1'- hydroxy-2',2'-dimethyl-4-(4-oxo-3(4H)- quinazolinyl)-,(2S,4S,9'aS)-
- 90342-54-4/Dodecanoic acid, C12-18-alkyl esters
- 50792-65-9/Iron, 7,16-dihydrodibenzob,i1,4,8,11tetraazacyclotetradecinato(2-)-.kappa.N5,.kappa.N9,.kappa.N14,.kappa.N18-, (SP-4-1)-
- 6237-78-1/(2E)-2-[(diaminomethylidene)hydrazono]propanoic acid
- 74432-20-5/2-formyl-5,6-dimethoxy-3-nitrobenzoic acid
- 85338-46-1/Urea, reaction products with formaldehyde, furfuryl alc. and phenol
- 53127-17-6/ETHODUOMEEN
- 74038-70-3/5-[4-(Dimethylamino)phenyl]imidazolidine-2,4-dithione
- 6471-51-8/N-(4-chloro-2-methylphenyl)-4-[(4-chloro-2-methylphenyl)azo]-3-hydroxynaphthalene-2-carboxamide
