Current position:Home >Product >
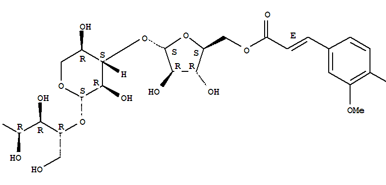
O-(5-O-(feruloyl)-alpha-arabinofuranosyl)-(1-3)-O-beta-xylopyranosyl-(1-4)-xylopyranose
O-(5-O-(feruloyl)-alpha-arabinofuranosyl)-(1-3)-O-beta-xylopyranosyl-(1-4)-xylopyranose(102339-98-0)
- Name: O-(5-O-(feruloyl)-alpha-arabinofuranosyl)-(1-3)-O-beta-xylopyranosyl-(1-4)-xylopyranose
- Synonyms:D-Xylose,O-5-O-[(2E)-3-(4-hydroxy-3-methoxyphenyl)-1-oxo-2-propenyl]-a-L-arabinofuranosyl-(1®3)-O-b-D-xylopyranosyl-(1®4)- (9CI); D-Xylose,O-5-O-[3-(4-hydroxy-3-methoxyphenyl)-1-oxo-2-propenyl]-a-L-arabinofuranosyl-(1®3)-O-b-D-xylopyranosyl-(1®4)-, (E)-
- Molecular Formula:C25H34 O16
- Molecular Weight:590.52786
- CAS Registry Number:102339-98-0
- EINECS:
- Melting Point:
- Water Solubility:
Other Product
- 86282-02-2/6-methylprednisolone 17-methoxyacetate
- 53857-94-6/Mikroklene
- 150527-32-5/Spiro[isobenzofuran-4(1H),4'(3'H)-[1H-7,9a]methanocyclohepta[c]pyran]-1,1',9'(4'aH)-trione,decahydro-7a-methyl-8'-methylene-, (3aS,4R,7'S,7aR,9'aR)- (9CI)
- 51270-20-3/7-oxa-3-thia-1-azaspiro[5.5]undec-1-en-2-amine (2E)-but-2-enedioate
- 80530-56-9/5-mercapto-o-anisic acid
- 90841-26-2/3-bromo-N-(phenylcarbamoyl)propanamide
- 71820-48-9/2,6,6-Trimethyl-2-cyclohexene-1-methanethiol
- 339-44-6/N-[5-(2-methoxyethoxy)pyrimidin-2-yl]benzenesulfonamide
- 56490-21-2/(1-hydroxy-2,2,6,6-tetramethyl-4-piperidyl)-[6-[(1-hydroxy-2,2,6,6-tetramethyl-4-piperidyl)-dimethyl-ammonio]hexyl]-dimethyl-azanium
- 68568-63-8/1-hydroxypropane-1,2,3-tricarboxylic acid, calcium salt
- 37642-65-2/ARG-PRO-HYP-GLY-PHE-SER-PRO-PHE-ARG
- 24319-16-2/N,N-diethyl-2-(pyridin-2-yl)ethanamine hydrochloride (1:1)
- 30771-86-9/Thiosulfuric acid hydrogen S-[2-imino-2-[[2-[(tricyclo[3.3.1.13,7]decan-1-yl)oxy]propyl]amino]ethyl] ester
- 20545-92-0/N-(2-hydroxyethyl)undec-10-enamide
- 20664-46-4/(Z)-oct-2-enal
- 106-85-4/4-Methyl-7-oxabicyclo[4.1.0]heptane-3-methanol acetate
- 5143-59-9/diethyl {(1Z)-3-[(5-chloropyridin-2-yl)amino]-3-oxo-1-phenyl-2-[(phenylcarbonyl)amino]prop-1-en-1-yl}phosphonate
- 41961-56-2/H-THR-LYS-PRO-OH
- 102339-98-0/O-(5-O-(feruloyl)-alpha-arabinofuranosyl)-(1-3)-O-beta-xylopyranosyl-(1-4)-xylopyranose
- 618-94-0/3-Nitrobenzhydrazide
- 40714-09-8/3-[2-(diethylamino)ethyl]-1-{methyl[2-(trifluoromethyl)benzyl]amino}-3-phenyl-1,3-dihydro-2H-indol-2-one
- 31524-62-6/Isobavachin
- 6350-92-1/N-(4-butylphenyl)-2-chloroacetamide
- 765-42-4/1-CYCLOPROPYLETHANOL
- 78860-53-4/2-(4,4-dimethyl-5,6-dihydro-4H-pyrrolo[3,2,1-ij]quinolin-1-yl)-3,6-dihydroxy-5-[2-(2-methylbut-3-en-2-yl)-1H-indol-3-yl]cyclohexa-2,5-diene-1,4-dione
- 166756-77-0/(2R,4R)-4-METHYLGLUTAMIC ACID HYDROCHLORIDE
- 39775-22-9/1-(2-chloro-1,1-dioxido-1-benzothiophen-3-yl)piperazine
- 19666-30-9/Oxadiazon
- 74870-04-5/Insulin (ox), 30B-de-L-alanine-
- 52745-94-5/3-(3-amino-3-carboxypropyl)uridine
