Current position:Home >Product >
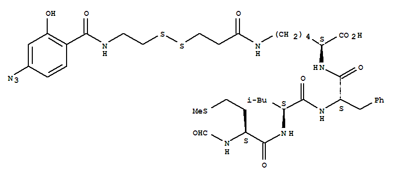
N-formyl-methionylleucyl-phenylalanyl-N(epsilon)-(2-(4-azidosalicylamido)ethyl-1,3'-dithiopropionyl)lysine
N-formyl-methionylleucyl-phenylalanyl-N(epsilon)-(2-(4-azidosalicylamido)ethyl-1,3'-dithiopropionyl)lysine(104234-99-3)
- Name: N-formyl-methionylleucyl-phenylalanyl-N(epsilon)-(2-(4-azidosalicylamido)ethyl-1,3'-dithiopropionyl)lysine
- Synonyms:N-formyl-methionylleucyl-phenylalanyl-N(epsilon)-(2-(4-azidosalicylamido)ethyl-1,3’-dithiopropionyl)lysine
- Molecular Formula:C39H55 N9 O9 S3
- Molecular Weight:0
- CAS Registry Number:104234-99-3
- EINECS:
- Melting Point:
- Water Solubility:
Other Product
- 64024-09-5/Spiro[4.5]decane-6-carboxaldehyde,8-hydroxy-10-methyl-2-(1-methylethenyl)-, (2R,5S,6R,8S,10R)-
- 24740-88-3/maleoylacetic acid
- 25620-59-1/amino-10-anthracenedione
- 16160-30-8/1,3,2-Benzodioxaborole,2-[[[(1,1-dimethylethyl)amino]carbonyl]oxy]- (9CI)
- 73758-52-8/ethyl 3-amino-3-[(aminocarbonyl)amino]butyrate
- 86780-90-7/ARANIDIPINE
- 69658-11-3/3-Chloro-7-oxo-7H-benz(de)anthracene-9-sulfonic acid sodium salt
- 95546-92-2/(6-Dimethylaminopyrimidin-4-ylthio)acetoisopropylidenehydrazide
- 140440-47-7/poly(acrylamide-co-4-acrylamidophenyl lactoside)
- 143782-37-0/Benzonitrile,4-[3-(2-hydroxyethyl)-4,4-dimethyl-5-oxo-2-thioxo-1-imidazolidinyl]-2-(trifluoromethyl)-
- 16250-61-6/Ergosta-8,22-diene-3,7-diol,5,6-epoxy-, (3b,5a,6a,7a,22E)-
- 57112-15-9/sodium 3-(2,2-dichlorovinyl)-2,2-dimethylcyclopropanecarboxylate
- 36065-80-2/2-(p-Nitrophenacylthio)-2-imidazoline
- 77465-10-2/ADRENOCORTICOTROPIC HORMONE RAT
- 954-81-4/N-(5-BROMOPENTYL)PHTHALIMIDE
- 133310-22-2/adenosine 5'-phosphor(adamantyl)amidate
- 88526-45-8/5-aminoacetamido-4,6-dimethyl-2-hydroxyisophthalic acid diethyl ester
- 104234-99-3/N-formyl-methionylleucyl-phenylalanyl-N(epsilon)-(2-(4-azidosalicylamido)ethyl-1,3'-dithiopropionyl)lysine
- 80809-38-7/4-AMINO-5-(2-FURYL)-4H-1,2,4-TRIAZOLE-3-THIOL
- 61667-33-2/1,1-dimethoxy-2,5-dihydro-1H-silole
- 178268-32-1/Ursa-12,19-dien-28-oic acid,2,3,23-trihydroxy-,(2R,3â,4R)-
- 68516-78-9/tris[tri(2-hydroxyethyl)ammonium] orthoborate
- 74038-42-9/(Ethylthiomethyl)phosphonic acid dibutyl ester
- 18787-76-3/7-(hydroxymethyl)-12-methyltetraphen-3-ol
- 67892-64-2/2-methyl-6-vinylbicyclo[2.2.1]hept-2-ene
- 52416-27-0/(1E)-1-(3-ethoxyphenyl)-3,3-dimethyltriaz-1-ene
- 73972-47-1/1-(azepan-1-yl)-4-(tricyclo[3.3.1.1~3,7~]dec-1-ylmethoxy)butan-2-ol
- 3652-91-3/2-METHYLCARBAZOLE
- 102395-56-2/1,3,8-Triazaspiro[4.5]decan-4-one,8-[3-(2,3-dihydro-2-benzofuranyl)propyl]-3-methyl-1-phenyl-
- 68603-27-0/N-Alkyl(C12/18)-oxi-2-hydroxypropyldimethyl- cyclohexylammoniumchlorid
