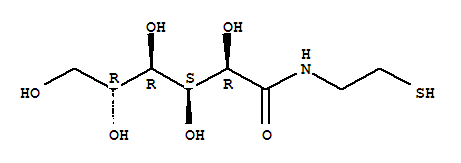
N-(2-mercaptoethyl)gluconamide(3786-84-3)
- Name: N-(2-mercaptoethyl)gluconamide
- Synonyms:Gluconamide,N-(2-mercaptoethyl)-, D- (6CI,7CI,8CI); N-(2-Mercaptoethyl)-D-gluconamide;N-(2-Mercaptoethyl)gluconamide
- Molecular Formula:C8H17 N O6 S
- Molecular Weight:255.29
- CAS Registry Number:3786-84-3
- EINECS:
- Melting Point:
- Water Solubility:
Other Product
- 5856-33-7/BETA-NAPHTHYL BUTYRATE
- 26919-50-6/6-(benzenesulfonyl-methyl-amino)hexanoic acid; 2-(bis(2-hydroxyethyl)amino)ethanol
- 11120-22-2/Lead silicate
- 30692-36-5/1-(1,4-dimethoxybutan-2-ylidene)-2-(1-methoxyhexan-2-ylidene)hydrazine
- 77102-91-1/DIHYDROAUROGLAUCIN
- 13765-26-9/GADOLINIUM FLUORIDE
- 7293-34-7/(E)-(1-methylpyridin-2(1H)-ylidene)-N-oxomethanaminium perchlorate
- 99654-81-6/1H-1,2,4-Triazole,1-[[2-(2,4-dichlorophenyl)- 4-propyl-1,3-dioxolan-2-yl]methyl]-,mixt. with tridemorph
- 116114-14-8/5-(4-chlorophenyl)-4-ethyl-2-methyl-2,4-dihydro-3H-1,2,4-triazol-3-one
- 540-13-6/12-Hydroxy-9-octadecynoic acid
- 39753-74-7/2,2,4,5,5-PENTAMETHYL-3-IMIDAZOLINE-1-OXYL
- 76684-66-7/Fatty acids, tall-oil, polymers with polyethylenepolyamines
- 17505-57-6/2-benzoyl-N-(2-chloroethyl)hydrazinecarboxamide
- 102583-63-1/Spiramycin, pentanoate(ester) (9CI)
- 128941-11-7/N-[3-({5-[(3-aminopropyl)amino]pentyl}amino)propyl]-2-hydroxy-3-(1H-indol-3-yl)propanamide
- 154361-26-9/Galanin (Canisfamiliaris) (9CI)
- 134112-54-2/Phenol, 4,4-(1-methylethylidene)bis-, polymer with 4-amino-alpha,alpha,4-trimethylcyclohexanemethanamine, 5-amino-1,3,3-trimethylcyclohexanemethanamine, (chloromethyl)oxirane, 2,2,4-trimethyl-1,6-hexanediamine and 2,4,4-trimethyl-1,6-hexanediamine
- 89278-25-1/4-NITRO-1-NAPHTHALENE ACETIC ACID
- 30687-11-7/N-(2-Hydroxyethyl)-3-(3,4,5-trimethoxyphenyl)propenamide
- 3786-84-3/N-(2-mercaptoethyl)gluconamide
- 15167-49-4/tris(octadecanoate-.kappa.O)tri-.mu.-oxotri-Aluminum Aluminum,tris(octadecanoate-.kappa.O)tri-.mu.-oxotri-
- 43040-56-8/2-(6,11-dihydrodibenzo[b,e]thiepin-2-yl)-1-(morpholin-4-yl)ethanethione
- 20053-23-0/1/C3H3Cl3O2S3/c1-8-3(5,6)10-11-9-2(4)7/h1H
- 15685-02-6/gold(1+) methanethiolate triethylphosphane (1:1:1)
- 7146-69-2/1-[(4-methylphenyl)sulfonyl]-4-phenylpiperidine-4-carboxamide
- 211802-43-6/Vilmorinin E
- 131569-68-1/2,7,8-Trioxabicyclo[3.2.1]octane-1-ethanethioicacid,3-[4-[10-(acetyloxy)-1,2,3,4,4a,4b,7,9,10,10a-decahydro-2,4b-dimethyl-7-oxo-1-phenanthrenyl]-1-methyl-2-oxobutyl]-5,6,6-trimethyl-,S-methyl ester (9CI)
- 101492-19-7/3-phenoxybenzyl (2E)-4-chloro-2-(4-ethoxyphenyl)-3-fluorobut-2-enoate
- 84100-48-1/methyl N-formyl-N-(1-phenylethyl)glycinate
- 4598-86-1/1-METHYL-4-NITRO-1H-PYRAZOLE-3-CARBOXYLIC ACID
