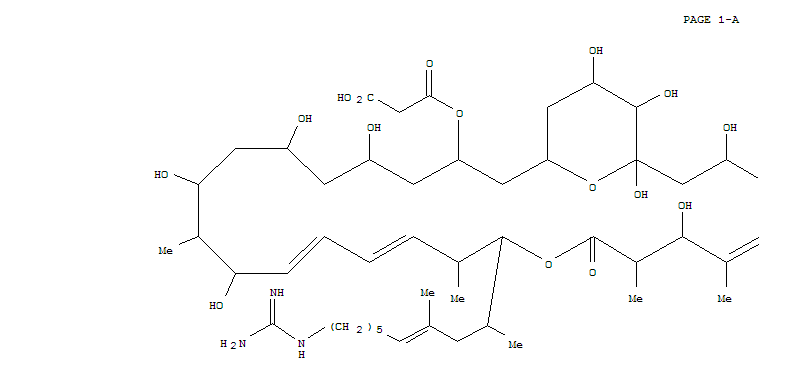
Malolactomycin D(189759-06-6)
- Name: Malolactomycin D
- Synonyms:Propanedioicacid,mono[17-[9-[(aminoiminomethyl)amino]-1,3-dimethyl-3-nonenyl]-5,7,9,11,21,25,27,29,31,35,37,38,39-tridecahydroxy-10,16,20,22,26,30,34-heptamethyl-19-oxo-18,41-dioxabicyclo[35.3.1]hentetraconta-12,14,22-trien-3-yl]ester (9CI); Malolactomycin D
- Molecular Formula:C61H107 N3 O20
- Molecular Weight:1202.51
- CAS Registry Number:189759-06-6
- EINECS:
- Melting Point:
- Water Solubility:
Other Product
- 534-97-4/D-arabino-hexosulose bis(phenylhydrazone)
- 56480-06-9/hexabromonaphthalene
- 2611-00-9/3-Cyclohexenyl 3-cyclohexene 1-carboxylate
- 24320-27-2/Halocortolone
- 161445-62-1/Tubulicid Red Label
- 81981-34-2/1a,2,3,11c-tetrahydro[1]benzoxireno[2,3-a]acridine-2,3-diol
- 183607-17-2/Ethanone,1-[(2S,5S,10R)-2-(3,4-dihydroxy-5- methoxyphenyl)-10-(â-D-glucopyranosyloxy)- 4,5-dihydro-6,8-dihydroxy-4-methyl-2,5- methano-1,3-benzodioxepin-4-yl]-
- 167568-93-6/7H-[2]Benzopyrano[3,4-g]oxireno[d]indol-7-one,1,2,3,4a,5,5a,11b,11c-octahydro-5,9,10-trimethoxy-1-methyl-,(3aR,4aS,5R,5aS,11bS,11cS)-
- 19733-78-9/N-Methyl-N-[3-[p-(phenoxymethyl)phenyl]propyl]cyclohexan-1-amine
- 51368-67-3/1-[(dimethylamino)methyl]-6,7,8,9-tetrahydrodibenzo[b,d]furan-2-ol hydrochloride
- 2245-90-1/6,7-dimethoxy-1,2,3,4-tetrahydroisoquinolin-8-ol hydrochloride (1:1)
- 58984-23-9/ICG
- 57547-55-4/3-chloro-4-methylfuran-2,5-dione
- 19891-05-5/PHORBOL 12,13,20-TRIACETATE, 4BETA
- 86547-20-8/methyl (2alpha,15R)-12,14-dichloro-2,16-dihydroxyabieta-8(14),9(11),12-trien-18-oate
- 76993-96-9/Chromium(1+), bis(2,2-bipyridine-N,N)(ethanedioato(2-)-O,O)-, iodide, (OC-6-22)-
- 31385-05-4/β-Butyl-N-[2-butyl-2-(1-naphthalenyl)-4-(1-pyrrolidinyl)butylidene]-β-(1-naphthalenyl)-1-pyrrolidinebutan-1-amine
- 21226-93-7/2-[[2-(Cyclohexylmethyl)butyl]amino]ethanethiol sulfate
- 189759-06-6/Malolactomycin D
- 13872-65-6/Condurango (Marsdenia cundurango)Condurangogenin A
- 157143-55-0/2(5H)-Furanone,5-methyl-3-[2,10,11-trihydroxy-14-[tetrahydro-5-(1-hydroxy-9-tetradecenyl)-2-furanyl]tetradecyl]-(9CI)
- 71432-22-9/O-(2,5-dichlorophenyl) O-ethyl phenylphosphonothioate
- 35167-15-8/Phalloidin, 6-(2-mercapto-1-propyl-L-tryptophan)-
- 9043-77-0/PORAPAK(R) Q
- 39638-34-1/(R)-2-hydroxy-4-(methylthio)butyric acid
- 112952-07-5/3-(10,11-dihydro-5H-dibenzo[a,d][7]annulen-5-ylidene)propanamide
- 27797-96-2/Silane,1-butyn-1-yl[(methylsilyl)methyl]-
- 70490-95-8/chloro(difluoro)(nitroperoxy)methane
- 28570-58-3/p-(3-Benzyloxy-1H-indazol-1-yl)benzoic acid butyl ester
- 189581-88-2/161262-29-9
