Lycotoxin II (9CI)(204264-80-2)
- Name: Lycotoxin II (9CI)
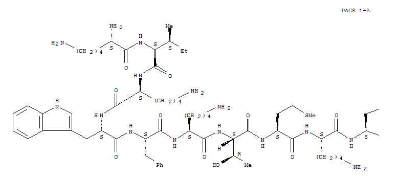
- Synonyms:20: PN:WO03035677 FIGURE: 6 unclaimed sequence; L-Glutamic acid,L-lysyl-L-isoleucyl-L-lysyl-L-tryptophyl-L-phenylalanyl-L-lysyl-L-threonyl-L-methionyl-L-lysyl-L-seryl-L-isoleucyl-L-alanyl-L-lysyl-L-phenylalanyl-L-isoleucyl-L-alanyl-L-lysyl-L-a-glutamyl-L-glutaminyl-L-methionyl-L-lysyl-L-lysyl-L-histidyl-L-leucylglycylglycyl-
- Molecular Formula:C149H245 N39 O35 S2
- Molecular Weight:
- CAS Registry Number:204264-80-2
- EINECS:
- Melting Point:
- Water Solubility:
Other Product
- 70693-42-4/Octadecanoic acid, reaction products with 2-[(2-aminoethyl)amino]ethanol, 2-carboxyethylated, sodium salts
- 1322-87-8/2-Hydroxypropyl laurate
- 6517-93-7/N-(2-hydroxy-4,5-dimethylphenyl)pyridine-3-carboxamide
- 91052-17-4/Glycerides, C8-18 andC18-unsatd. mono- and di-, citrates, calcium salts
- 29395-64-0/(4aR)-4a,5,6,7,8,8aα,9,9aα-Octahydro-3,4aβ,5β-trimethylnaphtho[2,3-b]furan-2(4H)-one
- 63717-16-8/1-(5-(3-Pyrrolino)-2,4-pentadienylidene)-3-pyrrolinium pamoate dihydrate
- 6033-69-8/6-amino-4-(1-ethylpropyl)-3-phenyl-2,4-dihydropyrano[2,3-c]pyrazole-5-carbonitrile
- 89899-84-3/b-D-Galactopyranoside, (2a,3b,24S,25S)-2,24-dihydroxyspirost-5-en-3-yl O-b-D-glucopyranosyl-(1®2)-O-[b-D-xylopyranosyl-(1®3)]-O-b-D-glucopyranosyl-(1®4)- (9CI)
- 91739-07-0/Indolo[2',3':3,4]pyrido[1,2-b][2,7]naphthyridinium,5,7,8,13,13b,14-hexahydro-5,6-dimethyl-, (5R,6R,13bS)- (9CI)
- 25702-80-1/POLY(VINYL CHLORIDE), CARBOXYLATED
- 85482-69-5/Cyclo(L-isoleucyl-L-leucyl-D-lysyl-L-prolyl-L-ornithyl-L-ornithyl-L-prolyl-L-tyrosyl)(9CI)
- 114928-08-4/2-Chloro-N,N-diethylethanethioamide
- 63848-09-9/3-Cyclohexen-1-ol,3-[(2R,2aR,4aR,5R,7aR)-5-[(1R)-1,5-dimethylhexyl]-2a,3,4,4a,5,6,7,7a-octahydro-4a-methyl-2H-cyclobut[e]inden-2-yl]-4-methyl-,(1S)- (9CI)
- 102767-69-1/2-Propenoic acid,esters,(1,1,3,3-tetramethyl-1,- 3-disiloxanediyl)di-4,1-butanediyl ester,mixt. with 2,3-dichloropropyl 2-propenoate homopolymer
- 68919-94-8/Linseed oil, polymer with bisphenol A, p-tert-butylphenol, formaldehyde, pentaerythritol, phthalic anhydride and rosin
- 1478-73-5/cyclooctyl trifluoroacetate
- 85650-64-2/2-acetamido-4-[(4-aminobenzoyl)amino]benzenesulphonamide
- 9029-72-5/Oxygenase,4-hydroxyphenylpyruvate di-
- 131582-60-0/Fenfiz
- 204264-80-2/Lycotoxin II (9CI)
- 67781-01-5/(3Z)-3-{[bis(2-chloroethyl)amino]methylidene}bicyclo[2.2.1]heptan-2-one
- 938-05-6/N,N-DIBROMOBENZENESULFONAMIDE
- 65997-16-2/Cement, alumina, chemicals
- 83382-07-4/Durafill
- 92203-78-6/1H-Imidazole-4-acetic acid, 2,3-dihydro-5-(methoxycarbonyl)-2-thioxo-, methyl ester
- 80947-81-5/Ethanamine,N,N-dimethyl-2-[[4-(4-pyridinyl)-2-thiazolyl]thio]-, hydrobromide (1:2)
- 51064-31-4/DIAMMINOTETRACHLOROPALLADIUM(IV)
- 116513-89-4/(3beta,5beta,6beta,7alpha,9beta,10xi,15alpha)-3,7-dihydroxy-1-oxo-7,20-epoxykaur-16-ene-6,15-diyl diacetate
- 5462-34-0/diethyl 5-iodo-3-methyl-1H-pyrrole-2,4-dicarboxylate
- 81148-83-6/1,2,3-trimethoxy-4-[(E)-prop-1-enyl]benzene
