Current position:Home >Product >
L-Phenylalaninamide,L-seryl-L-a-aspartyl-L-prolyl-L-asparaginyl-L-phenylalanyl-L-leucyl-L-arginyl-
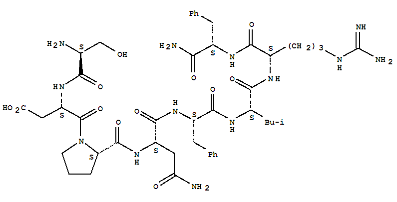
L-Phenylalaninamide,L-seryl-L-a-aspartyl-L-prolyl-L-asparaginyl-L-phenylalanyl-L-leucyl-L-arginyl-(143435-57-8)
- Name: L-Phenylalaninamide,L-seryl-L-a-aspartyl-L-prolyl-L-asparaginyl-L-phenylalanyl-L-leucyl-L-arginyl-
- Synonyms:63:PN: WO0131005 SEQID: 63 claimed protein; CF 1; CF 1 (peptide); FLP 1A1; PF 1;PF 1 (peptide); Pan 1; Ser-Asp-Pro-Asn-Phe-Leu-Arg-Phe-NH2
- Molecular Formula:C46H67 N13 O12
- Molecular Weight:
- CAS Registry Number:143435-57-8
- EINECS:
- Melting Point:
- Water Solubility:
Other Product
- 67762-86-1/POLY(CYANOPROPYLMETHYLSILOXANE)
- 18595-14-7/Methyl 4-amino-3-methylbenzoate
- 67370-02-9/Angeloylzygadenine
- 145459-19-4/Heterophyllin B
- 171964-49-1/1H-Cyclobut[e]indene-1,2,4-triol,2,4,4a,5,6,7,- 7a,7b-octahydro-3-(hydroxymethyl)-6,6,7btrimethyl-,(1S,2R,4S,4aR,7aS,7bR)-
- 54425-42-2/St2A
- 155286-92-3/HLA-B59
- 145274-77-7/b-D-Glucopyranose, cyclic 2®2:3®2'-[(1S)-4-(6-carboxy-2,3,4-trihydroxyphenoxy)-4',5,5',6,6'-pentahydroxy[1,1'-biphenyl]-2,2'-dicarboxylate]cyclic 4,6-O-[(1S)-4,4',5,5',6,6'-hexahydroxy[1,1'-biphenyl]-2,2'-dicarboxylate]1-(3,4,5-trihydroxybenzoate), 4-ester with b-D-glucopyranose cyclic 2®2:3®2'-[(1S)-4,5,5',6,6'-pentahydroxy-4'-[2,3,4-trihydroxy-6-(methoxycarbonyl)phenoxy][1,1'-biphenyl]-2,2'-dicarboxylate]1,6-bis(3,4,5-trihydroxybenzoate) (9CI)
- 28567-35-3/tert-butyl diphenylmethyl ether
- 166582-81-6/Benzaldehyde,2,4-dihydroxy-6-methyl-3-[(2E,4R)-3-methyl-4-(1-oxopropoxy)-5-[(1S,2R,6R)-1,2,6-trimethyl-3-oxocyclohexyl]-2-penten-1-yl]-
- 65273-61-2/[2-(1,3-dihydro-2H-isoindol-2-yl)ethyl](triphenyl)phosphonium
- 108444-25-3/1-BENZYL-3,5-DIMETHYL-1H-PYRAZOLE-4-CARBOXYLIC ACID
- 78518-19-1/Spiro[cyclopropa[1,10a]phenanthro[4,5-bcd]- furan-3(1H),2'-oxirane]-9b(3aH)-ethanamine,1a,2-dihydro-5-methoxy-N,N-dimethyl-,(1aS,2'S,3aR,9aS,9bS)-
- 5528-56-3/5,7-dimethyl-3-phenyl[1,2,4]triazolo[4,3-a]pyridine
- 4482-53-5/Phosphine,tris(3-arsinopropyl)-
- 87081-19-4/4-(1-hydroxy-2-{[(2-methyl-2,3-dihydro-1,4-benzodioxin-2-yl)methyl]amino}propyl)phenol hydrobromide
- 72117-56-7/2-[[[(4-bromophenyl)sulfonylamino]carbamoylformyl]amino]benzoic acid
- 7501-42-0/2-(7-methylnaphthalen-1-yl)ethyl 4-nitrobenzoate
- 17331-90-7/N-[(benzyloxy)carbonyl]histidylleucinamide
- 143435-57-8/L-Phenylalaninamide,L-seryl-L-a-aspartyl-L-prolyl-L-asparaginyl-L-phenylalanyl-L-leucyl-L-arginyl-
- 125903-21-1/Sperm-activatingpeptide a (Tripneustes gratilla egg jelly coat) (9CI)
- 68082-97-3/Rosin, maleated, polymer with ethylene glycol, pentaerythritol and phthalic anhydride
- 3398-27-4/[4-(1,3-benzodioxol-5-ylmethyl)piperazin-1-yl](3,4,5-trimethoxyphenyl)methanone hydrochloride (1:1)
- 42060-21-9/4-(diethylamino)butanoic acid
- 100801-59-0/Chabazite, dealuminated
- 91609-71-1/natural killer cell receptor 2B4
- 100801-65-8/Hydrocarbon oils,arom., mixed with polyethylene, pyrolyzed, light oil fraction
- 94114-23-5/Resin acids and Rosin acids, tall-oil
- 5993-03-3/ethyl {[2-(2-methoxy-4-{(Z)-[1-(4-methylphenyl)-2,4,6-trioxotetrahydropyrimidin-5(2H)-ylidene]methyl}phenoxy)ethyl]sulfanyl}acetate
- 40283-46-3/2-AMINOTHIAZOLE-5-CARBOXYLIC ACID
