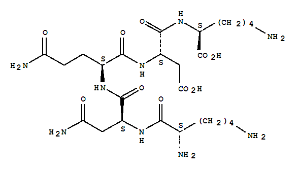
KNQDK peptide(116430-79-6)
- Name: KNQDK peptide
- Synonyms:L-Lysine,N2-[N-[N2-(N2-L-lysyl-L-asparaginyl)-L-glutaminyl]-L-a-aspartyl]-; 607: PN:WO2005081628 SEQID: 1716 claimed protein
- Molecular Formula:C25H45 N9 O10
- Molecular Weight:631.68
- CAS Registry Number:116430-79-6
- EINECS:
- Melting Point:
- Water Solubility:
Other Product
- 6065-12-9/4-NITRO-3-HEPTENE
- 91650-02-1/Carbamic acid, (2-(2-formyl-1-pyrrolidinyl)-1-methyl-2-oxoethyl)-, phenylmethyl ester, (S-(R*,R*))-
- 112330-84-4/1-(3,3,3-trifluoro-1-iodopropyl)-2,8,9-trioxa-5-aza-1-silabicyclo[3.3.3]undecane
- 7154-26-9/2,3,5,6-TETRACHLORO-P-XYLENE-A,A'-DIOL
- 19096-66-3/(7E)-7-[(2Z)-2-(5-fluoro-1,3,3-trimethyl-1,3-dihydro-2H-indol-2-ylidene)ethylidene]-8-oxo-7,8-dihydroquinolinium
- 62087-72-3/HAMBURGER PENTAPEPTIDE
- 72845-36-4/3-methylpent-3-en-1-yl benzoate
- 44801-72-1/P,P'-Difluorodiphosphoric acid
- 129744-24-7/STELLETTAMIDE A TRIFLUOROACETATE
- 95511-28-7/hyodeoxyoxazoline
- 64346-43-6/2-[2-(2,3-dihydro-1,3-dioxo-1H-inden-2-yl)quinolin-6-yl]-6-methylbenzothiazole-7-sulphonic acid, compound with dimethylamine (1:1)
- 1322-17-4/1,3-Nonanediol acetate
- 17297-54-0/Neorobinin
- 27987-25-3/bis(methylcyclohexyl) phthalate
- 96401-68-2/1-[(7-methyl-5-oxo-2,3,4,5-tetrahydro-1-benzoxepin-4-yl)methyl]piperidinium chloride
- 68037-04-7/Alcohols, C1O-14, ethoxylated
- 129224-83-5/1,2-Ethanediamine,N2-(4,6-di-2-thienyl-2-pyrimidinyl)-N1,N1-dimethyl-
- 9031-83-8/Amine transaminase
- 2444-68-0/9-VINYLANTHRACENE
- 116430-79-6/KNQDK peptide
- 119-04-0/NEOMYCIN B
- 15871-24-6/2-methyl-1,2-benzothiazole-3(2H)-thione
- 51053-43-1/Acid Yellow 128
- 189229-30-9/AS-H 07
- 6946-61-8/diethyl 1,4-dioxaspiro[4.4]nonane-2,3-dicarboxylate
- 5577-52-6/3,5-di-tert-butyl-4-fluoro-N-(quinolin-3-yl)benzenesulfonamide
- 103771-16-0/N-(9-aminononyl)-5-iodonaphthalene-1-sulfonamide
- 510-53-2/racemethorphan
- 52589-15-8/Glomellin
- 78939-99-8/N-(butylcarbamoyl)-4-methylbenzenesulfonamide - N-(2-phenylethyl)imidodicarbonimidic diamide (1:1)
