Insulin (casiragua-Breduced) (9CI)(104953-84-6)
- Name: Insulin (casiragua-Breduced) (9CI)
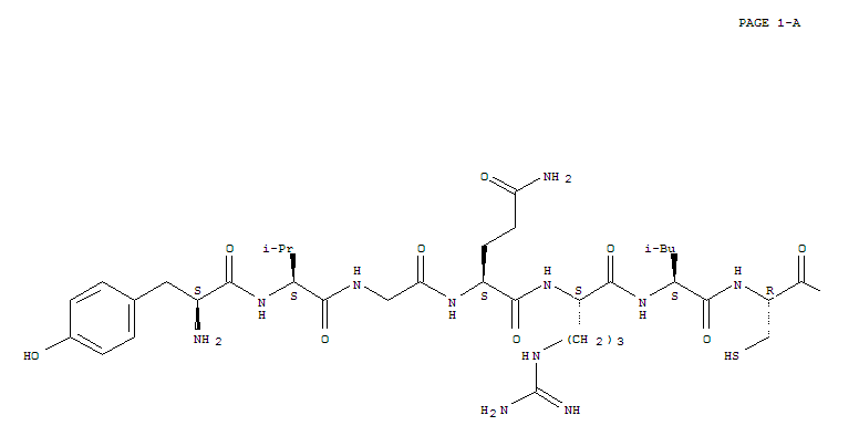
- Synonyms:Insulin(ox-B reduced),1-L-tyrosine-3-glycine-5-L-arginine-10-L-glutamine-13-L-asparticacid-14-L-threonine-17-L-serine-20-L-lysine-21-L-histidine-25-de-L-phenylalanine-27-L-arginine-29-L-serine-30-L-glutamicacid-; L-Glutamic acid, L-tyrosyl-L-valylglycyl-L-glutaminyl-L-arginyl-L-leucyl-L-cysteinylglycyl-L-seryl-L-glutaminyl-L-leucyl-L-valyl-L-a-aspartyl-L-threonyl-L-leucyl-L-tyrosyl-L-seryl-L-valyl-L-cysteinyl-L-lysyl-L-histidyl-L-arginylglycyl-L-phenylalanyl-L-tyrosyl-L-arginyl-L-prolyl-L-seryl-
- Molecular Formula:C148H229 N43 O43 S2
- Molecular Weight:
- CAS Registry Number:104953-84-6
- EINECS:
- Melting Point:
- Water Solubility:
Other Product
- 84067-13-0/Zirconium,C5-23-branched carboxylate C4-10 carboxylate naphthenate complexes
- 15911-81-6/Carbamic acid,N-[2-[(1R)-1-[[(2R,3R,11bS)-3-ethyl-1,3,4,6,7,11b-hexahydro-9,10-dimethoxy-2H-benzo[a]quinolizin-2-yl]methyl]-3,4-dihydro-6,7-dimethoxy-2(1H)-isoquinolinyl]-2-oxoethyl]-,1,1-dimethylethyl ester
- 26746-29-2/sodium 2-butylbenzenesulfonate 3-butylbenzenesulfonate 4-butylbenzenesulfonate (3:1:1:1)
- 85030-63-3/4,4'-bis[[1-[[(4-methoxyphenyl)amino]carbonyl]-2-oxopropyl]azo][1,1'-biphenyl]-2,2'-disulphonic acid
- 50514-84-6/8-(heptylselanyl)octanoic acid
- 128412-07-7/1H,9H-8a,9,14a-[1]Propanyl[3]ylidene-3H-cyclopent[c]oxepino[4,3-e]pyrrolo[3,2,1-ij]quinolin-3-one,dodecahydro-12-methyl-, (5aR,5bR,8aS,9R,12S,12aR,12bS,14aR,15S)-
- 100209-36-7/Lipoproteins, bloodserum
- 124992-48-9/DICLOFOP METHYL, 5-HYDROXY
- 53024-85-4/Ruthenium(1+),tetraamminedibromo-, bromide, (OC-6-22)- (9CI)
- 52419-76-8/Spiro(piperidine-4,6(7H)-(5H)thiazolo(3,2-a)pyrimidine), 1-butyl-3-(2-naphthalenyl)-, ethanedioate (1:2)
- 15066-38-3/1,3,5-Triazine-2,4,6-triamine nitrate
- 92376-36-8/Benzoic acid, 2-amino-,2-[(4-methylphenyl)sulfonyl]hydrazide
- 31274-14-3/6-phenylhexanaMide
- 55720-43-9/1,4,6,7-TETRACHLORONAPHTHALENE
- 6277-43-6/1-(4-methoxyphenyl)-2-(morpholin-4-yl)ethanone
- 62944-67-6/35KhN1M2F
- 94552-02-0/Waste solids,copper-contg. dye
- 128481-16-3/4,19-Dioxabicyclo[13.3.1]nonadec-13-en-3-one,1,10,12,17-tetrahydroxy-11,18-dimethoxy-2,14,16-trimethyl-5-phenyl- (9CI)
- 57078-94-1/2,8,9-Trioxa-5-aza-1-silabicyclo[3.3.3]undecane,1-(chloromethyl)-3,7,10-trimethyl-
- 104953-84-6/Insulin (casiragua-Breduced) (9CI)
- 38709-94-3/5-(4-nitrophenyl)-1,3-oxathiole 3-oxide
- 67656-34-2/2(1H)-Pyridinone,4-hydroxy-1-methyl-3-[tetrahydro-5-methyl-6-(1,3,5-trimethylheptyl)-2H-pyran-2-yl]-5-(2,3,4,5-tetrahydroxycyclopentyl)-,stereoisomer
- 6144-36-1/2,3-diamino-5-methyl-1,3,4-thiadiazol-3-ium
- 7049-24-3/1-[2-(diethylamino)ethyl]-3-hydroxy-4-[(5-methyl-1-benzofuran-2-yl)carbonyl]-5-[3-(prop-2-en-1-yloxy)phenyl]-1,5-dihydro-2H-pyrrol-2-one
- 144833-59-0/Duradin
- 57772-64-2/1,5-BIS(SUCCINIMIDOOXYCARBONYLOXY) PENTANE*
- 129578-06-9/D-ido-Heptonic acid,3,6-anhydro-2-deoxy-7-C-phenyl-, g-lactone, (7R)-
- 78543-39-2/Dodecanoic acid, compd. with 2-(2-aminoethoxy)ethanol (1:1)
- 40784-13-2/3-methoxy-4,5-dihydro-1,2-oxazole
- 84434-77-5/ethyl 3-[bis(2-chloroethyl)amino]-N-(4-fluoro-N-L-seryl-3-phenyl-L-alanyl)-3-phenyl-L-alaninate monohydrochloride
