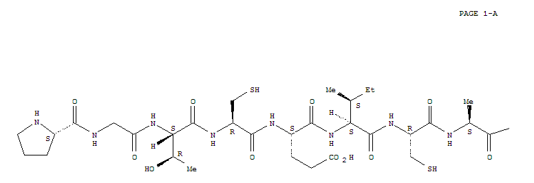
Guanylin (humanreduced) (9CI)(145319-90-0)
- Name: Guanylin (humanreduced) (9CI)
- Synonyms:Guanylin(rat reduced), 2-glycine-; 115: PN: WO2008002971 PAGE: 1/5 unclaimed sequence;12: PN: WO03072754 SEQID: 14 unclaimed protein; 197: PN: WO03099862 PAGE: 55unclaimed sequence; 1: PN: WO02098912 SEQID: 1 claimed sequence; 25: PN:US20050208074 SEQID: 25 claimed sequence; 2: PN: WO02079235 PAGE: 27 unclaimedsequence; 4: PN: US20060094658 SEQID: 4 claimed protein; 4: PN: WO2005016244PAGE: 65 claimed sequence; 540: PN: WO2005074575 PAGE: 14/134 unclaimedsequence; 558: PN: WO0069900 SEQID: 1247 unclaimed sequence; 58: PN:WO2004071436 SEQID: 54 claimed sequence; 611: PN: WO2006102069 FIGURE: 3 (sheet12 of 17) unclaimed sequence; 811: PN: WO2006102069 FIGURE: 6 claimed sequence;97: PN: US20030119021 SEQID: 78 unclaimed sequence; 984: PN: US20090175821SEQID: 1247 claimed protein; Guanylin (synthetic cloneWO2006/1020609-SEQID-64); L-Cysteine, L-prolylglycyl-L-threonyl-L-cysteinyl-L-a-glutamyl-L-isoleucyl-L-cysteinyl-L-alanyl-L-tyrosyl-L-alanyl-L-alanyl-L-cysteinyl-L-threonylglycyl-;PN: US5962220 SEQID: 54 claimed protein
- Molecular Formula:C58H91 N15 O21 S4
- Molecular Weight:
- CAS Registry Number:145319-90-0
- EINECS:
- Melting Point:
- Water Solubility:
Other Product
- 27894-67-3/4-[(5,6,7-trimethoxy-2-methyl-1,2,3,4-tetrahydroisoquinolin-1-yl)methyl]phenyl 6-deoxyhexopyranoside
- 1472-54-4/BENZYL-[2-(3,4-DIMETHOXY-PHENYL)-ETHYL]-AMINE
- 114420-67-6/BRUSATOL
- 68605-11-8/Linseed oil, linseed fatty acids, tung oil, glycerine phthalic anhydride polymer
- 68035-73-4/(10α)-3β,16α,20,25-Tetrahydroxy-9β-methyl-19-norlanost-5-ene-2,11,22-trione
- 95211-68-0/2-AMINO-6-METHYL-4,5,6,7-TETRAHYDRO-1-BENZOTHIOPHENE-3-CARBOXAMIDE
- 38304-28-8/Disodium octylphosphonate
- 119017-78-6/N-(3-hydroxypropyl)-N-(2-nitrophenyl)-2-(4-phenylpiperazin-1-yl)acetamide di[(2E)-but-2-enedioate] (salt)
- 7462-37-5/2-phenyltetrahydro-3aH-cyclopenta[d][1,3,2]dioxaborole
- 13282-67-2/N'-OLEOYL-N,N-DIETHYLETHYLENEDIAMINE
- 162811-30-5/1,4-Dibenzofurandione,4a,9b-dihydro-4a,8-dihydroxy-2,7-dimethoxy-9,9b-di(10Z)-10-pentadecen-1-yl-,(4aR,9bS)-rel-
- 147700-52-5/7-methyl-1,3-dipropyl-8-[(E)-2-(2,3,4-trimethoxyphenyl)ethenyl]-3,7-dihydro-1H-purine-2,6-dione
- 13288-29-4/2,4-Dioxatricyclo[3.3.1.13,7]decane
- 57605-99-9/Inositol,1,3-bis(acetylamino)-1,3-dideoxy-
- 26912-46-9/phosphated nonylphenolethoxylate
- 131562-73-7/Macrafolin
- 12387-00-7/Chromium,pentacarbonyl[1-(methylamino)ethylidene]-, (OC-6-21)- (9CI)
- 97653-85-5/collagen I, alpha chain (98-110)
- 104575-36-2/2-(2-Methyl-5-nitro-1H-imidazol-1-yl)ethyl 3,4,5-trimethoxybenzoate
- 145319-90-0/Guanylin (humanreduced) (9CI)
- 30716-68-8/2-phenyl-1H-indole-4,7-dione
- 189371-42-4/Xylobovide
- 68038-15-3/soyabean fatty acids/ phthalic anhydride/ pentaerythritol
- 59518-88-6/Sodium bis(3-((1-(2-chlorophenyl)-4,5-dihydro-3-methyl-5-oxo-1H-pyrazol-4-yl)azo)-4-hydroxybenzene-1-sulphonamidato(2-))chromate(1-)
- 180389-78-0/3-(3-tetradecoxypropylamino)propanenitrile
- 76617-99-7/3-[3-(1H-benzimidazol-2-yl)phenyl]-2-phenylquinazolin-4(3H)-one
- 1392-88-7/Phthiomycin
- 63439-91-8/DISPERSE RED 54:1
- 7152-08-1/N-Benzyl-4-carbamyl-4-N-pyrrolidinopiperidine
- 110344-57-5/1H-2,6-Dioxacyclopent[cd]inden-1-one,7-(b-D-glucopyranosyloxy)octahydro-4-methyl-,(2aS,4S,4aR,7R,7aS,7bS)- (9CI)
