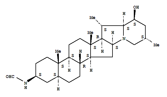
Formamide, N-[(3b,5a,23b)-23-hydroxysolanidan-3-yl]- (9CI)(105705-84-8)
- Name: Formamide, N-[(3b,5a,23b)-23-hydroxysolanidan-3-yl]- (9CI)
- Synonyms:1H-Naphth[2',1':4,5]indeno[1,2-b]indolizine,formamide deriv.; Solanidane, formamide deriv.; Solanopubamide A
- Molecular Formula:C28H46 N2 O2
- Molecular Weight:
- CAS Registry Number:105705-84-8
- EINECS:
- Melting Point:
- Water Solubility:
Other Product
- 39131-10-7/2,4-THIAZOLIDINEDIONE
- 136105-26-5/disodium [(2S,3R,4R)-4-(4-amino-7H-imidazo[4,5-d][1,2,3]triazin-7-yl)-2-(phosphonooxy)oxetane-2,3-diyl]dimethanolate
- 7473-43-0/.beta.-D-Ribopyranose, tetrabenzoate
- 73987-35-6/3,4-Dichloro-2-quinolinamine
- 92280-01-8/ICR 360
- 54835-81-3/sodium (2R,3R,4R,5R)-2-(6-aminopurin-9-yl)-5-(hydroxymethyl)-4-(hydroxy-oxido-phosphoryl)oxy-oxolan-3-ol
- 69553-75-9/isopropyl unoprostone
- 11100-05-3/Streptolysin O
- 7300-26-7/4-Azido-N-(4-azidophenyl)benzenamine
- 93719-13-2/ethyl 2-[(5E)-5-[3-(ethoxycarbonylmethyl)-4-oxo-2-sulfanylidene-thiazolidin-5-ylidene]-4-oxo-2-sulfanylidene-thiazolidin-3-yl]acetate
- 86336-35-8/1-(4-phenylcyclohexyl)ethanamine
- 91672-14-9/9-Octadecenoic acid (Z)-, methyl ester, hydroformylation products
- 56413-95-7/5,6-Dichloro-2,3-dicyanopyrazine
- 37571-91-8/dodecyl L-alaninate hydrochloride (1:1)
- 126647-16-3/N-[(2E)-1-methylazepan-2-ylidene]-2-(2-thioxopyrrolidin-1-yl)ethanethioamide
- 106168-44-9/Distillates(petroleum), steam-cracked, maleated
- 150026-97-4/OCTATRIACONTAMETHYLCYCLONONADECASILOXANE
- 5378-70-1/Coenzyme A,esters,S-[3-(acetyloxy)-4- (trimethylammonio)butanoate],inner salt
- 134894-51-2/6-(prop-2-en-1-yl)pyrido[2,3-b][1,5]benzoxazepin-5(6H)-one
- 105705-84-8/Formamide, N-[(3b,5a,23b)-23-hydroxysolanidan-3-yl]- (9CI)
- 70206-77-8/(2R,9'aS)-4',4'aα,6'aβ,7',8',9'-Hexahydro-7'α-hydroxy-8',8'-dimethyl-2'-oxospiro[oxirane-2,1'(2'H)-pentaleno[1,6a-c]pyran]-5'-carboxylic acid
- 181309-92-2/(1S,3R,6S,8R,9S,10E,12S,14S)-6,9,14-Tris(acetyloxy)-3,12-dihydroxy-1,5,16,16-tetramethyltricyclo[9.3.1.14,8]hexadeca-4,10-dien-2-one
- 72749-83-8/3,3'-(Carbonyldiimino)bis[6-[[1-[[(2-methoxy-5-sulfophenyl)amino]carbonyl]-2-oxopropyl]azo]benzoic acid]tetrasodium salt
- 4024-11-7/(2,5-dimethylphenyl)(4-methylphenyl)phenylsulfonium
- 162203-65-8/(2S)-N-benzyl-2-[(2S)-2-(2-hydroxyacetyl)pyrrolidine-1-carbonyl]pyrrolidine-1-carboxamide
- 77044-73-6/delta-N-methylarginine
- 483-84-1/FLAVIANIC ACID
- 6943-11-9/1-bromo-4-[6-(4-bromophenoxy)hexoxy]benzene
- 9033-18-5/Aminotransferase,diiodotyrosine
- 69772-65-2/thymosin alpha(7)
