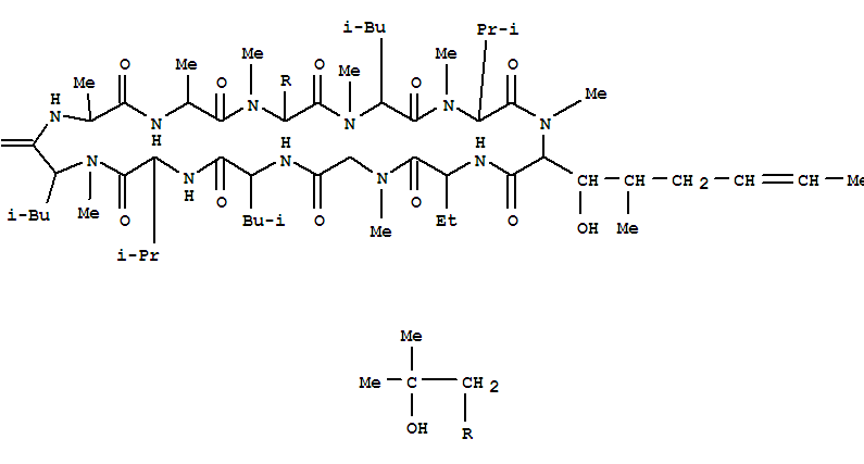
Cyclosporin A,3-(4-hydroxy-N-methyl-L-leucine)-9-L-leucine-(112077-93-7)
- Name: Cyclosporin A,3-(4-hydroxy-N-methyl-L-leucine)-9-L-leucine-
- Synonyms:1,4,7,10,13,16,19,22,25,28,31-Undecaazacyclotritriacontane,cyclic peptide deriv.; AM 4N9; Cyclosporin A metabolite 13; Cyclosporin Ametabolite 4N9
- Molecular Formula:C61H109 N11 O13
- Molecular Weight:
- CAS Registry Number:112077-93-7
- EINECS:
- Melting Point:
- Water Solubility:
Other Product
- 12397-35-2/Potassium carbonyl(K(CO)) (9CI)
- 16625-94-8/octyl 6-aminohexanoate
- 88125-18-2/Hallerol
- 13940-03-9/Acetic acid,2,2'-(1,2-cyclobutanediylidene)bis- (9CI)
- 134176-95-7/Stelliferin B
- 65997-32-2/2-Propenoic acid, 2-methyl-, butyl ester, polymer with butyl 2-propenoate, ethenylbenzene, methyl 2-methyl-2-propenoate, 2-methyl-2-((1-oxo-2-propenyl)amino)-1-propanesulfonic acid, 1,2-propanediol mono-2-propenoate and 2-propenoic acid, compd. with 2-(dimethylamino)ethanol
- 60602-95-1/4-Thia-1-azabicyclo[3.2.0]heptane-2-carboxylic acid,6-[[(2R)-[[[[[(4S,4aS,12aS)-4-(dimethylamino)- 1,4,4a,5,12,12a-hexahydro-3,10,11,- 12a-tetrahydroxy-6-methyl-1,12-dioxo-2- naphthacenyl]carbonyl]amino]methyl]amino]- phenylacetyl]amino]-3,3-dimethyl-7-oxo-,(2S,5R,6R)-
- 73347-78-1/6-ethylidenebicyclo[2.2.1]hept-2-yl propionate
- 55477-37-7/N-(4,6-dichloro-5-methylpyrimidin-2-yl)acetamide
- 61394-74-9/3-methyl-3-(methylsulfanyl)-6-nitro-1,3-dihydro-2H-indol-2-one
- 85408-07-7/Guanidine, monococo alkyl derivs., acetates
- 32812-40-1/2-[(1,2-diphenylhydrazinyl)methyl]quinoline
- 1864-94-4/PHENYL FORMATE
- 81608-95-9/2(5H)-Furanone,3-methoxy-4-methyl-5-(1- propenyl)-,(-)-
- 26733-25-5/2,2-diethyl-1,3-dithiolane
- 3563-46-0/(Bicyclohexyl)-1-carboxylic acid, 2-(4-methyl-1-piperazinyl)ethyl ester
- 16777-78-9/Benzoic acid,4-[(phenylamino)carbonyl]-
- 215249-78-8/dioxo-1-piperidineacetyl-L-valyl-Lleucyl-L-r-glutamyl-L-prolyl-L-raspartyl-L-threonyl-L-r-glutamyl-Llysyl-L-alanyl-L-r-aspartylglycyl-Lprolyl-L-tyrosyl-L-arginyl-L-valyl-L-rglutamyl-L-histidyl-L-phenylalanyl-Larginyl-L-tryptophylglycyl-Lasparaginyl-L-prolyl-L-prolyl-L-lysyl-
- 78374-90-0/N-(benzylcarbamothioyl)-3-phenylprop-2-enamide
- 112077-93-7/Cyclosporin A,3-(4-hydroxy-N-methyl-L-leucine)-9-L-leucine-
- 103181-78-8/3-Pyridinecarbothioicacid, S-[2-[2-[(2-methoxyphenoxy)methyl]-3-thiazolidinyl]-2-oxoethyl] ester
- 31248-68-7/2-{4-[(1E)-N-hydroxyethanimidoyl]phenoxy}-1-(4-methylpiperidin-1-yl)ethanone
- 6701-28-6/1,4-Methanoindan
- 29569-30-0/5-carbamoylmethyluridine
- 141931-32-0/2-Propanesulfonic acid,2-methyl-, anhydride with di-1-piperidinylphosphinic acid (9CI)
- 92145-11-4/7-methyl-10,11-dihydrobenzo[c]acridine
- 141079-08-5/3-[(4-chloro-3-methyl-phenoxy)methyl]-5-(4-fluorophenyl)-4-(4-methylph enyl)-1,2,4-triazole
- 25377-82-6/Tridecene
- 36467-52-4/4-(1,3-dioxo-1,3-dihydro-2H-isoindol-2-yl)-2-hydroxybenzoic acid
- 106049-29-0/13-Octadecenal,(13Z)-,mixt. with (9Z)-9-hexadecenal and (11Z)-11-hexadecenal
