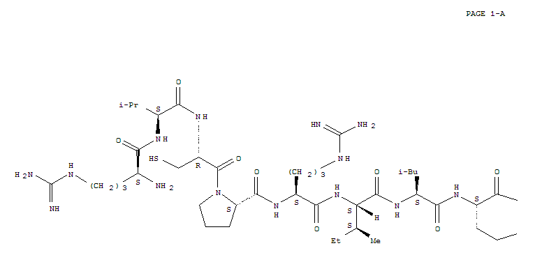
Cucurbita maxima trypsin inhibitor III(79044-57-8)
- Name: Cucurbita maxima trypsin inhibitor III
- Synonyms:Glycine,L-arginyl-L-valyl-L-cysteinyl-L-prolyl-L-arginyl-L-isoleucyl-L-leucyl-L-methionyl-L-lysyl-L-cysteinyl-L-lysyl-L-lysyl-L-a-aspartyl-L-seryl-L-a-aspartyl-L-cysteinyl-L-leucyl-L-alanyl-L-a-glutamyl-L-cysteinyl-L-valyl-L-cysteinyl-L-leucyl-L-a-glutamyl-L-histidylglycyl-L-tyrosyl-L-cysteinyl-
- Molecular Formula:C135H226 N40 O40 S7
- Molecular Weight:3274.87964
- CAS Registry Number:79044-57-8
- EINECS:
- Melting Point:
- Water Solubility:
Other Product
- 40524-99-0/1a,2,3,3a,8b,8c-Hexahydro-8-hydroxy-1,1,3a-trimethyl-6-pentyl-1H-4-oxabenzo[f]cyclobut[cd]indene-7-carboxylic acid
- 150175-11-4/Spirost-5-en-12-one,3-[(O-b-D-glucopyranosyl-(1®2)-O-b-D-glucopyranosyl-(1®4)-b-D-galactopyranosyl)oxy]-, (3b,25R)-
- 25189-55-3/POLY(N-ISOPROPYL ACRYLAMIDE)
- 137988-05-7/methyl 4-((7-hydroxy-4-oxo-4H-chromen-3-yl)oxy)benzoate
- 65357-64-4/Toromycin
- 63716-61-0/8-chloro-3-[(3-chloroquinolin-8-yl)oxy]-6-(hydroxymethyl)naphthalen-2-ol
- 25446-32-6/2-Butyl-5-hexylindane
- 101651-84-7/(2E)-2-[({4-[bis(2-chloroethyl)amino]phenyl}amino)methylidene]-1,2-dihydro-3H-indol-3-one
- 128960-12-3/Pentanamide,N-[1-(ethylsulfonyl)-4-piperidinyl]-2-propyl-
- 89258-07-1/1-(2-acetyl-10H-phenothiazin-10-yl)-2-[(2E)-2-(4-methoxybenzylidene)hydrazinyl]ethanone
- 60291-32-9/alpha-Hch
- 149819-53-4/2(1H)-Pyrimidinone,4-amino-5-bromo-1-[2-(hydroxymethyl)-1,3-oxathiolan-5-yl]-, (2S-trans)- (9CI)
- 77168-23-1/2-[(1H-benzimidazol-2-ylsulfanyl)acetyl]-N-(2-methoxyphenyl)hydrazinecarbothioamide
- 72869-77-3/3-((C10-C16)-Alkyldimethylammonio)-2-hydroxypropanesulfonate
- 4551-15-9/PHENYLTHIOTRIMETHYLSILANE
- 146991-83-5/P protein, phocid distemper virus
- 103827-15-2/6-((2-(4-imidazolyl)ethyl)amino)heptanoic acid 4-toluidide
- 79044-57-8/Cucurbita maxima trypsin inhibitor III
- 35728-03-1/2,4-Dichloro-6-[(3,4-dichlorophenyl)amino]-1,3,5-benzenetricarbonitrile
- 2430-34-4/(2-~2~H)naphthalene
- 6147-37-1/Menadionesodiumdisulfite
- 27325-19-5/1-(butan-2-ylamino)-3-(2-cyclopropylphenoxy)propan-2-ol hydrochloride (1:1)
- 52685-95-7/hydrogen 2-[2-methyl-3-[3-(3-sulphonatopropyl)-3H-benzoselenazol-2-ylidene]prop-1-enyl]-3-(3-sulphonatopropyl)benzoselenazolium
- 93357-67-6/101550-97-4
- 91142-01-7/9-cyclohex-2-en-1-yl-3,9-dihydro-6H-purine-6-thione
- 202000-45-1/Dicyclopenta[a,f]naphthalene-3-carboxylic acid,hexadecahydro-3,4-dihydroxy-6-[(1R)- 1-hydroxy-1,5-dimethyl-3-oxo-4-hexenyl]- 1,1,3a,8a,8b-pentamethyl-2-oxo-,(3S,3aS,- 3bS,4R,5aR,6S,8aR,8bR,10aR)-
- 36556-91-9/3-(2-hydroxy-4-methylphenyl)-2-methylquinazolin-4(3H)-one
- 2472-03-9/(4E)-2-amino-4-(naphthalen-2-ylimino)naphthalen-1(4H)-one
- 72927-70-9/tetrasodium 4,4'-bis[[4,5-dihydro-3-methyl-5-oxo-1-(4-sulphonatophenyl)-1H-pyrazol-4-yl]azo][1,1'-biphenyl]-2,2'-disulphonate
- 105029-28-5/Ethanol,2,2'-[1,4-butanediylbis[(4-amino-3-methylphenyl)imino]]bis-, tetrahydrochloride(9CI)
