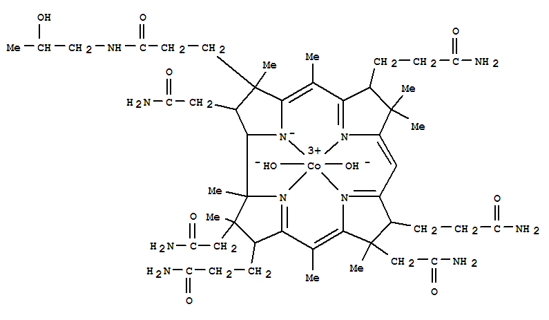
Cobinamide,Co,Co-dihydroxy- (9CI)(27085-10-5)
- Name: Cobinamide,Co,Co-dihydroxy- (9CI)
- Synonyms:Cobinamide,dihydroxide (7CI,8CI); Factor B dihydroxide; Hydroxocobinamide
- Molecular Formula:C48H74 Co N11 O10
- Molecular Weight:
- CAS Registry Number:27085-10-5
- EINECS:
- Melting Point:
- Water Solubility:
Other Product
- 6997-11-1/4-ethoxy-6-ethyl-N-methyl-1,3,5-triazin-2-amine
- 3381-60-0/2-(formylamino)-2-phenylpropanoic acid
- 9032-83-1/5-FORMIMINOTETRAHYDROFOLATE: L-GLUTAMATE N-FORMIMINOTRANSFERASE
- 82291-37-0/1,2,4,7,9-Pentachlorodibenzo-p-dioxin
- 42957-13-1/cis-Thymidine glycol
- 109461-21-4/2-(4-fluorophenyl)-2-methylmorpholine hydrochloride
- 90504-22-6/N-(1-quinolin-2-ylethyl)azepane-1-carbothiohydrazide
- 3199-77-7/2,3-DIHYDRO-5-METHOXY-1H-INDEN-1-OL
- 68605-39-0/Fatty acids, tall-oil, hydrogenated
- 126164-76-9/3-(acetyloxy)-6-{[4,4,6a,6b,8a,11,14b-heptamethyl-14-oxo-11-(phenylcarbamoyl)-1,2,3,4,4a,5,6,6a,6b,7,8,8a,9,10,11,12,12a,14,14a,14b-icosahydropicen-3-yl]oxy}-2-(phenylcarbamoyl)-5-{[4,5,6-tris(acetyloxy)-2-(phenylcarbamoyl)tetrahydro-2H-pyran-3-yl]oxy}tet
- 106324-58-7/gamma-monoglutamyl-coenzyme F420
- 69868-19-5/oxybis(methyleneoxymethylene) bis(1,3-dihydro-1,3-dioxoisobenzofuran-5-carboxylate)
- 62989-18-8/Cycloatalantin
- 90676-25-8/2-N-PROPYLCYCLOHEXANOL
- 90342-32-8/Decanol, branched and linear
- 71566-77-3/3-(ethylamino)-2-methyl-7-[(o-tolyl)amino]phenoxazin-5-ium formate
- 147589-12-6/carbacerulenin
- 40775-75-5/5-HYDROXY-[1,2,4]TRIAZOLO[1,5-A]PYRIMIDIN-7-OL
- 27085-10-5/Cobinamide,Co,Co-dihydroxy- (9CI)
- 85203-69-6/Butanedioic acid, mono-C15-20-2-alkenyl derivs., monostearyl esters, calcium salts
- 61137-12-0/3,4,6,7,9,10-hexahydroacridine-1,8(2H,5H)-dione
- 136182-63-3/2,19-(methyleneoxy)androst-4-ene-3,17-dione
- 145375-43-5/[2(S)-cis]-Octahydro-gamma-oxo-alpha-(phenylmethyl)-2H-isoindole-2-butanoic acid
- 131242-85-8/2-[(3,4-dioxo-3,4-dihydronaphthalen-1-yl)amino]benzamide
- 67939-82-6/gold octanethiolate
- 126518-77-2/asarumin C
- 68565-42-4/1,3-Benzenedicarboxylic acid, polymer with 1,4-cyclohexanedimethanol, 2,2-dimethyl-1,3-propanediol, 2,5-furandione, hexanedioic acid, 3a,4,7,7a-tetrahydro-1,3-isobenzofurandione and 1,3,5-tris(2-hydroxyethyl)-1,3,5-triazine-2,4,6(1H,3H,5H)-trione
- 61248-25-7/N,1,7,7-tetramethylbicyclo[2.2.1]heptan-2-amine
- 50655-06-6/N-benzyl-N,N-diethyl-2-{[(2E)-3-phenylprop-2-enoyl]sulfanyl}ethanaminium bromide
- 2149-76-0/5-AMINOURIDINE, HYDROCHLORIDE SALT
