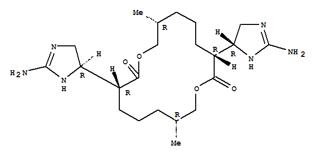
Chaksine(486-53-3)
- Name: Chaksine
- Synonyms:1,9-Dioxacyclohexadecane-2,10-dione,3,11-bis(2-amino-4,5-dihydro-1H-imidazol-4-yl)-7,15-dimethyl-,[3R-[3R*(R*),7R*,11R*(R*),15R*]]-; Chaksine
- Molecular Formula:C22H38 N6 O4
- Molecular Weight:450.57
- CAS Registry Number:486-53-3
- EINECS:
- Melting Point:
- Water Solubility:
Other Product
- 5456-32-6/3-benzylidene-5-(3-benzylidene-4-hydroxy-1-methyl-4-piperidyl)-1-methyl-piperidin-4-one
- 5410-46-8/[4-(2-hydroxyethyl)phenyl]arsonic acid
- 72236-70-5/1,3-dichloropropan-2-yl dihydrogen phosphate
- 110134-07-1/Copper,bis(1,2-dihydro-1,5-dimethyl-2-phenyl-3H-pyrazol-3-one-O)tetrakis[m-(phenoxyacetato-O1:O1')]di-,(Cu-Cu) (9CI)
- 85554-63-8/Ethyl 4-methylnon-3-enoate
- 63885-75-6/3-[bis(1-methylethyl)amino]propyl 10H-pyrido[3,2-b][1,4]benzothiazine-10-carboxylate hydrochloride
- 134052-33-8/Zincphyrin
- 17895-45-3/4-[2,6-diamino-3,5-bis[(4-sulfophenyl)diazenyl]phenyl]diazenylbenzenesulfonic acid
- 5437-89-8/4-cyclohexyl-2-(2-cyclohexylethyl)-N-ethylbutanamide
- 34464-43-2/Isoundecane
- 107659-23-4/2-(4-chlorophenyl)-1-(2,4-dichlorophenyl)-2-hydroxy-3-(1H-imidazol-1-yl)propan-1-one
- 63902-44-3/10-Cyclo-19-norcholest-7-en-2-ol, 5-methyl-,(2.alpha., 5.beta., 6.beta., 10.alpha.)-6
- 120466-12-8/3-benzyl-7-[(4-fluorophenyl)sulfonyl]-9,9-dimethyl-3,7-diazabicyclo[3.3.1]nonane 2,3-dihydroxybutanedioate (salt)
- 38201-24-0/1-(4-methylphenyl)aziridine
- 89300-14-1/(2Z,11R,11aS)-2-ethylidene-7,8,11-trimethoxy-1,2,3,10,11,11a-hexahydro-5H-pyrrolo[2,1-c][1,4]benzodiazepin-5-one
- 68459-47-2/Castor oil fatty acids, dehydrated, pentaerythritol, phthalic anhydride, soybean oil fatty acids polymer
- 22677-21-0/2-Pyrrolidinone,4-hydroxy-, (4R)-
- 57772-73-3/ethyl 2-benzyl-3-phenylpropanoate
- 84878-44-4/[[(6-aminohexyl)amino]methyl]phenol
- 486-53-3/Chaksine
- 101360-47-8/Toxin AK (Alternariaalternata)
- 11081-47-3/4-(dimethylamino)-6-{8-[4-(dimethylamino)-5-hydroxy-6-methyltetrahydro-2H-pyran-2-yl]-11-hydroxy-5-methyl-2-[(1E)-1-methylprop-1-en-1-yl]-4,7,12-trioxo-7,12-dihydro-4H-naphtho[2,3-h]chromen-10-yl}-2,4-dimethyltetrahydro-2H-pyran-3-yl acetate hydrochloride
- 81947-89-9/1-(tert-butylamino)-3-[2-(6-chloropyridazin-3-yl)phenoxy]propan-2-ol
- 69671-17-6/alpha-Neoendorphin
- 145865-80-1/2-Thiophenecarboxylic acid, 3-((((4-cyanophenyl)methylene)hydrazino)su lfonyl)-, methyl ester
- 138571-29-6/N-acetylphenylalanyl-N-(4-((butylamino)carbonyl)-1-(cyclohexylmethyl)-2-hydroxy-5-methylhexyl)norleucinamide
- 90028-16-3/Drosera longifolia, ext.
- 147362-37-6/5H-Dibenzo[c,g]carbazole-5,9(7H)-dione,6,8-bis(3,4-dihydroxyphenyl)-2,3,11,12-tetrahydroxy-7-[2-(4-hydroxyphenyl)ethyl]-
- 83833-28-7/decyl 5-butyl-5-[[3-(decyloxy)-3-oxopropyl]thio]-9-oxo-10-oxa-4,6-dithia-5-stannaicosanoate
- 16068-46-5/phosphoric acid, potassium salt
