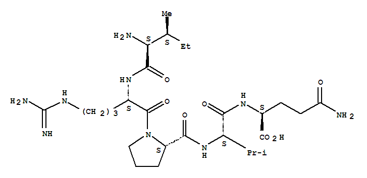
C112 peptide(148162-36-1)
- Name: C112 peptide
- Synonyms:L-Glutamine,N2-[N-[1-(N2-L-isoleucyl-L-arginyl)-L-prolyl]-L-valyl]-
- Molecular Formula:C27H49 N9 O7
- Molecular Weight:611.73
- CAS Registry Number:148162-36-1
- EINECS:
- Melting Point:
- Water Solubility:
Other Product
- 68476-97-1/Soybean oil, polymer with benzoic acid, isophthalic acid, trimellitic anhydride and trimethylolpropane
- 3476-19-5/p-Bromo-N-propylbenzenesulfonamide
- 68919-35-7/Linseed oil, pentaerythritol, polypropylene glycol, toluene diisocyanate polymer
- 73791-36-3/N-(1,5-dimethyl-3-oxo-2-phenyl-2,3-dihydro-1H-pyrazol-4-yl)morpholine-4-carbothioamide
- 5614-24-4/(2E)-3-(3-hydroxyphenyl)-2-(6-methyl-1H-benzimidazol-2-yl)prop-2-enenitrile
- 68479-92-5/4,7-Methano-1H-indene, 3a,4,7,7a-tetrahydromethyl-, polymer with 1,3-butadiene, 1,3-cyclopentadiene, ethenylmethylbenzene, 2,5-furandione, 1H-indene, methyl-1,3-cyclopentadiene, (1-methylethenyl)benzene, 1-propenylbenzene and3a,4,7,7a-tetrahydro-4,7-methano-1H-indene
- 2105-44-4/S-[2-[[(4-amino-2-methylpyrimidin-5-yl)methyl]formylamino]-1-[2-(benzoyloxy)ethyl]prop-1-en-1-yl] benzenecarbothioate monohydrochloride
- 101868-30-8/Benzoic acid,3,5-dibromo-2-hydroxy-,2-[(2,3-dihydro-1,5-dimethyl-3-oxo-2-phenyl-1H-pyrazol-4-yl)methylene]hydrazide
- 36204-23-6/FIBRINOPEPTIDE B
- 150351-05-6/L-Lysine, L-a-glutamyl-L-a-glutamyl-L-a-glutamyl-L-a-glutamyl-L-lysyl-L-lysyl-L-lysyl-L-a-glutamyl-L-a-glutamyl-L-a-glutamyl-L-lysyl-L-lysyl-L-a-glutamyl-L-a-glutamyl-L-a-glutamyl-L-a-glutamyl-L-lysyl-L-lysyl-L-lysyl-L-a-glutamyl-L-a-glutamyl-L-a-glutamyl-L-lysyl- (9CI)
- 65248-67-1/2-(2,6-dichlorobenzyl)-1-methyl-4,5-dihydro-1H-imidazole
- 20324-33-8/Tripropylene glycol monomethyl ether
- 80296-67-9/AC 119
- 106119-98-6/Hydrazinecarboximidamide,2,2'-(1-ethyl-2-methyl-1,2-ethanediylidene)bis- (9CI)
- 73680-83-8/3-{[3-hydroxy-4-(methoxycarbonyl)phenyl]amino}-N,N,N-trimethyl-3-oxopropan-1-aminium iodide
- 94113-70-9/(Z)-2-(8-heptadecenyl)-4,5-dihydro-1,3-bis(2-hydroxyethyl)-1H-imidazolium chloride
- 458-10-6/N-(3-fluoro-4-methyl-phenyl)acetamide
- 148162-36-1/C112 peptide
- 18514-29-9/4,4-(3-(1-Naphthyl)pentamethylene)dimorpholine dihydrochloride
- 12237-31-9/Solvent Yellow 79
- 3521-06-0/PRIMOCYANINE 6GX
- 1152-90-5/2,4,6-trinitrophenol - pyridine (1:1)
- 80451-05-4/CECROPIN B
- 88364-39-0/1-Indanone, hexahydro-2-(morpholinomethyl)-, hydrochloride
- 6142-34-3/ethyl {4-[(3-methylphenyl)amino]phthalazin-1-yl}acetate
- 140850-73-3/Igmesine
- 65792-56-5/N-Propyl-N-nitrosopropanamide
- 162341-21-1/Hexanoic acid,3,5-dihydroxy-,3-(1,3,5-heptatrienyl)-7,8-dihydro-7-methyl-6,8-dioxo-1aH,6H-oxireno[j]-2-benzopyran-7-ylester (9CI)
- 8057-97-4/Trinuride
- 27479-28-3/Dodecyl(ethylbenzyl)dimethylammonium chloride
