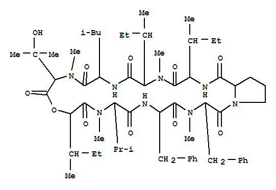
Aureobasidin T4 (9CI)(158313-50-9)
- Name: Aureobasidin T4 (9CI)
- Synonyms:AureobasidinA, 6-(N-methyl-L-alloisoleucine)-;Cyclo[L-alloisoleucyl-N-methyl-L-alloisoleucyl-L-leucyl-3-hydroxy-N-methyl-L-valyl-(2R,3R)-2-hydroxy-3-methylpentanoyl-N-methyl-L-valyl-L-phenylalanyl-N-methyl-L-phenylalanyl-L-prolyl];L-Valine,3-hydroxy-N-[N-[N-[N-[1-[N-[N-[N-(2-hydroxy-3-methyl-1-oxopentyl)-N-methyl-L-valyl]-L-phenylalanyl]-N-methyl-L-phenylalanyl]-L-prolyl]-L-alloisoleucyl]-N-methyl-L-alloisoleucyl]-L-leucyl]-N-methyl-,a1-lactone, [R-(R*,R*)]-
- Molecular Formula:C61H94 N8 O11
- Molecular Weight:
- CAS Registry Number:158313-50-9
- EINECS:
- Melting Point:
- Water Solubility:
Other Product
- 94200-88-1/4-amino-5-hydroxy-6-[[4-[[4-[[2-hydroxy-4-[(o-tolyl)amino]phenyl]azo]phenyl]amino]-3-sulphophenyl]azo]-3-[(4-nitrophenyl)azo]naphthalene-2,7-disulphonic acid, sodium salt
- 66070-79-9/Fatty acids, linseed-oil, polymers with bisphenol A, epichlorohydrin and soya fatty acids
- 23590-59-2/8-CHLOROPYRIDO[2,3-D]PYRIDAZINE
- 13472-80-5/3,5-Diiodopyridin-2-ol
- 6148-48-7/BROMOTRIMETHYLLEAD
- 42556-95-6/oxirane - thiirane (1:1)
- 2875-23-2/(2E)-3-furan-2-yl-1-(2-hydroxyphenyl)prop-2-en-1-one
- 20027-38-7/1/C4H8N2O2/c5-2-1-6-4(8)3(2)7/h2-3,7H,1,5H2,(H,6,8)/t2-,3+/m0/s
- 68171-57-3/Bisphenol diglycidyl ether, acrylic acid, benzophenone tetracarboxylic dianhydride, succinic anhydride polymer
- 68516-41-6/Adipic acid, isophthalic acid, 1,1-methylenebis(4-isocyanatocyclohexane), neopentyl glycol polymer
- 73179-37-0/Phosphoric acid bis(2,6-dimethylphenyl)2,4,6-trimethylphenyl ester
- 222735-88-8/3a,7-Ethano-3aH-inden-2(3H)-one,hexahydro-4,8,8-trimethyl-3-methylene-1-[[(3S,3aS,4S,7S,7aS)-octahydro-4,8,8-trimethyl-2-oxo-3a,7-ethano-3aH-inden-3-yl]methyl]-,(1R,3aS,4S,7S,7aR)-
- 6623-33-2/6-[2-(2,4-dichlorophenyl)ethenyl]-1,3,5-triazine-2,4-diamine
- 14894-42-9/N,N-dimethyl-1-phenylmethanesulfonamide
- 35843-07-3/Morocromen
- 93820-63-4/Benzenesulfonic acid, mono-C10-36-alkyl derivs., calcium salts
- 51609-30-4/C.I. Fluorescent Brightener 69
- 34814-82-9/dibenzo[fg,mn]naphtho[1,2,3,4-xyz]heptaphene
- 68937-45-1/Phosphoric acid, mixed (polyoxyethylene tridecyl ether) 2-ethylhexyl esters, triethanolamine potassium salt
- 158313-50-9/Aureobasidin T4 (9CI)
- 6308-63-0/6-{[1-(dimethylamino)propan-2-yl]oxy}-2-methyl-2,3-dihydro-1H-inden-1-one
- 25134-15-0/(TRIMETHYLSILYL)CYCLOPENTADIENE, MIXTURE OF ISOMERS
- 31460-30-7/(2Z)-4-[(2,5-dimethylphenyl)amino]-4-oxobut-2-enoic acid
- 29218-28-8/5-(hydroxymethyl)-3-(2-methylphenyl)oxazolidin-2-one
- 21962-84-5/1,4-Dioxocane-5,8-dione
- 83010-65-5/RU 38796
- 5118-06-9/Methyl 3-hydroxythiophene-2-carboxylate
- 156918-73-9/10H-Dibenzo[a,d]cyclohepten-10-one,1,2,3,4,4a,5,11,11a-octahydro-4a,6,9-trihydroxy-7-methoxy-1,1-dimethyl-8-(1-methylethyl)-,(4aS,11aS)-
- 23073-32-7/1-(4-fluoro-1H-indol-3-yl)propan-2-aminium chloride
- 94221-86-0/1-Methyl-4-(2-benzofuryl)-2-(2-hydroxyethylamino)pyrrolidine hydrogen fumarate
