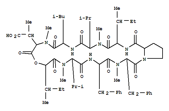
Aureobasidin J (9CI)(127785-70-0)
- Name: Aureobasidin J (9CI)
- Synonyms:AureobasidinA, 8-(N,3-dimethyl-L-aspartic acid)-;1H,15H-Pyrrolo[1,2-m][1,4,7,10,13,16,19,22,25]oxaoctaazacycloheptacosine,cyclic peptide deriv.; Antibiotic R 106IX;Cyclo[L-alloisoleucyl-N-methyl-L-valyl-L-leucyl-N,3-dimethyl-L-a-aspartyl-(2R,3R)-2-hydroxy-3-methylpentanoyl-N-methyl-L-valyl-L-phenylalanyl-N-methyl-L-phenylalanyl-L-prolyl];L-Aspartic acid, N-[N-[N-[N-[1-[N-[N-[N-(2-hydroxy-3-methyl-1-oxopentyl)-N-methyl-L-valyl]-L-phenylalanyl]-N-methyl-L-phenylalanyl]-L-prolyl]-L-alloisoleucyl]-N-methyl-L-valyl]-L-leucyl]-N,3-dimethyl-,a1-lactone, [R-(R*,R*)]-
- Molecular Formula:C60H90 N8 O12
- Molecular Weight:
- CAS Registry Number:127785-70-0
- EINECS:
- Melting Point:
- Water Solubility:
Other Product
- 236-86-2/1,4-Epithionaphthalene(8CI,9CI)
- 3894-18-6/2-Methyl-2-[(2-naphtyloxy)methyl]-1,3-propanediol
- 61140-17-8/2,4-diamino-5-oxo-8-pentofuranosyl-5,8-dihydropyrido[2,3-d]pyrimidine-6-carboxamide
- 6408-59-9/Alphanol Fast Green GWA
- 6470-31-1/disodium 3,3'-[(3,3'-dichloro[1,1'-biphenyl]-4,4'-diyl)bis(azo)]bis(4-aminonaphthalene-1-sulphonate)
- 7476-99-5/1-phenylbutyl butanoate
- 61090-94-6/Cyanophos-oxon
- 5915-60-6/disodium 2-benzothiazol-6-yl-2-[4-[(2Z)-2-[(5E)-5-[[4-(2-benzothiazol-6-yl-6-methyl-7-sulfonato-4H-benzothiazol-2-yl)phenyl]hydrazinylidene]-2,6-dioxo-1-cyclohex-3-enylidene]hydrazinyl]phenyl]-6-methyl-4H-benzothiazole-7-sulfonate
- 56960-97-5/1,2-bis(4-chlorophenyl)ethanol
- 25310-48-9/methylmercury(1+) methanethiolate
- 26368-78-5/2-({4,7-dimethoxy-5-[(2E)-3-phenylprop-2-enoyl]-1-benzofuran-6-yl}oxy)-N,N-dimethylethanaminium (2Z)-3-carboxyprop-2-enoate
- 68459-54-1/Safflower oil fatty acids, polyethylene glycol diesters
- 17137-11-0/1,3-dihydro-1,3-dioxo-2H-isoindole-2-propionyl chloride
- 87773-10-2/2-Phenyl-5,6-dihydroimidazo(2,1-a)isoquinoline
- 6319-57-9/4-nitro-N-(9H-xanthen-9-yl)benzenesulfonamide
- 51460-84-5/2,2',2'',4,4',4'',6,6',6''-nonanitro-m-terphenyl
- 514-67-0/RUBROPUNCTATIN
- 69551-95-7/3-(m-Methoxyphenyl)-1-(3-phenylpropyl)-3-propylpyrrolidine
- 101339-27-9/2-methoxy-6-octadecylcyclohexa-2,5-diene-1,4-dione
- 127785-70-0/Aureobasidin J (9CI)
- 26863-99-0/N-(10,11-dihydro-5H-dibenzo[a,d][7]annulen-5-yl)pyridine-4-carboxamide
- 138220-90-3/(1,3-DIOXO-OCTAHYDRO-ISOINDOL-2-YL)-ACETIC ACID
- 3076-63-9/TRILAURYL PHOSPHITE
- 64049-59-8/2-Propanaminium,1,1'-oxybis[N,N,N-trimethyl-, diiodide (9CI)
- 872-31-1/3-Bromothiophene
- 6372-12-9/(4Z)-4-[(2-ethoxynaphthalen-1-yl)methylidene]-2-(ethylsulfanyl)-1,3-thiazol-5(4H)-one
- 709-70-6/N-(Tricyclo[2.2.1.02,6]heptan-3-yl)carbamic acid ethyl ester
- 27783-27-3/(4E)-2-cyclohexyl-5,9-dimethyl-deca-4,8-dienoic acid
- 123774-72-1/Sargramostim
- 69462-12-0/2-ethyl-4-methylpentyl (2,4,5-trichlorophenoxy)acetate
