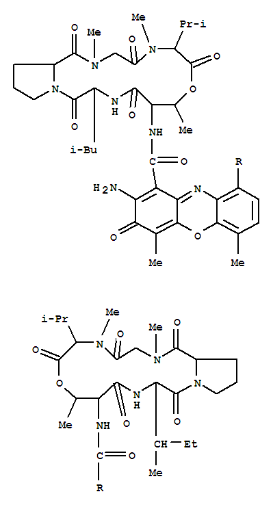
Actinomycin Au6a(8CI,9CI)(27888-55-7)
- Name: Actinomycin Au6a(8CI,9CI)
- Synonyms:ActinomycinD,2A-D-leucine-2B-D-alloisoleucine-5A-(N-methyl-D-valine)-5B-(N-methyl-D-valine)-;1H-Pyrrolo[2,1-i][1,4,7,10,13]oxatetraazacyclohexadecine, actinomycin D deriv.;3H-Phenoxazine, actinomycin D deriv.; 3H-Phenoxazine-1,9-dicarboxamide,2-amino-N9-[hexadecahydro-2,5,9-trimethyl-6-(1-methylethyl)-13-(1-methylpropyl)-1,4,7,11,14-pentaoxo-1H-pyrrolo[2,1-i][1,4,7,10,13]oxatetraazacyclohexadecin-10-yl]-N1-[hexadecahydro-2,5,9-trimethyl-6-(1-methylethyl)-13-(2-methylpropyl)-1,4,7,11,14-pentaoxo-1H-pyrrolo[2,1-i][1,4,7,10,13]oxatetraazacyclohexadecin-10-yl]-4,6-dimethyl-3-oxo-;Actinomycin Au6(II)
- Molecular Formula:C64H90 N12 O16
- Molecular Weight:
- CAS Registry Number:27888-55-7
- EINECS:
- Melting Point:
- Water Solubility:
Other Product
- 7065-48-7/2-{4-[(4-chlorophenyl)sulfonyl]-2-thiophen-2-yl-1,3-oxazol-5-yl}-1,2,3,4-tetrahydroisoquinoline
- 5626-96-0/N-{(E)-[4-(thietan-3-yloxy)phenyl]methylidene}aniline
- 19025-97-9/salicylic acid silver
- 14467-65-3/Benzene,1,1'-[1,3-propanediylbis(oxy)]bis[3-nitro- (9CI)
- 73507-27-4/Cuprate(6-), [mu-[4-[[8-[[4-chloro-6-[(3-sulfophenyl)amino]-1,3,5-triazin-2-yl]amino]-1-hydroxy-3,6-disulfo-2-naphthalenyl]azo]-4'-[(1-hydroxy-3,6,8-trisulfo-2-naphthalenyl)azo][1,1'-biphenyl]-3,3'-dicarboxylato(10-)]]di-, hexasodium
- 20826-80-6/hex-1-en-2-ylbenzene
- 137440-95-0/4-(dimethylamino)-6-methyl-2-(morpholin-4-yl)pyridine-3-carbonitrile
- 68650-59-9/Linseed oil, polymer with dipentaerythritol, isophthalic acid, pentaerythritol, tall oil and tung oil
- 112983-77-4/Kerimid DI 3651
- 67970-02-9/Maleic anhydride, neopentyl glycol, trimellitic anhydride, adipic acid, 1,4-cyclohexanedimethanol polymer
- 6183-51-3/Benzenesulfonic acid, p-(1-methyldecyl)-, sodium salt
- 63270-36-0/1,3-Eicosanediol,2-amino-,(2S,3R)-
- 59692-88-5/dihydroxy(5-oxo-L-prolinato-N1,O2)aluminium
- 127133-66-8/2-Propenoic acid, 2-methyl-, polymers with Bu methacrylate, lauryl methacrylate and 2-(methyl((perfluoro-C4-8-alkyl)sulfonyl)amino)ethyl methacrylate
- 76045-72-2/(aS)-5-Hydroxy-6-(5-hydroxy-6,8-dimethoxy-2-methyl-4-oxo-4H-naphtho[2,3-b]pyran-10-yl)-8,10-dimethoxy-2-methyl-4H-naphtho[1,2-b]pyran-4-one
- 12310-43-9/DYSPROSIUM BORIDE
- 58005-42-8/7-methoxy-6-methyl-9H-carbazol-3-ol
- 71412-26-5/2,3-dimethylbutyl acetate
- 62832-01-3/4-(2-{[1-(4-chlorophenyl)-4-phenyl-1H-pyrazol-3-yl]oxy}ethyl)morpholine methanesulfonate
- 27888-55-7/Actinomycin Au6a(8CI,9CI)
- 315248-27-2/(2E)-4-{2-[(3-nitrophenyl)carbonyl]hydrazino}-4-oxobut-2-enoate
- 223428-32-8/b-D-Glucopyranosiduronic acid, (3b,4a,16a)-28-[(O-5-O-acetyl-a-L-arabinofuranosyl-(1®3)-O-[O-b-D-xylopyranosyl-(1®4)-6-deoxy-a-L-mannopyranosyl-(1®2)]-4-O-acetyl-6-deoxy-b-D-galactopyranosyl)oxy]-16-hydroxy-23,28-dioxoolean-12-en-3-yl2-O-b-D-galactopyranosyl-, methylester
- 104305-93-3/Diphpetmednp
- 13482-64-9/bis(chloromethyl)phosphinic chloride
- 60555-57-9/benzyl 5-oxoprolinate
- 105708-78-9/Pyrrolo[3,2,1-de]phenanthridinium,4,5-dihydro-2,10-dihydroxy-9-methoxy-, inner salt
- 57802-40-1/2,2,3,4,5-pentachloro-2H-pyrrole
- 68818-37-1/3-Hydroxy-2,2-bis(hydroxymethyl)propyl decanoate
- 125792-14-5/tributyl(tetradecyl)phosphonium tetrafluoroborate
- 14318-40-2/2H-1,3,5-Thiadiazine-2-thione,tetrahydro-5-methyl-3-(2-phenylethyl)-
