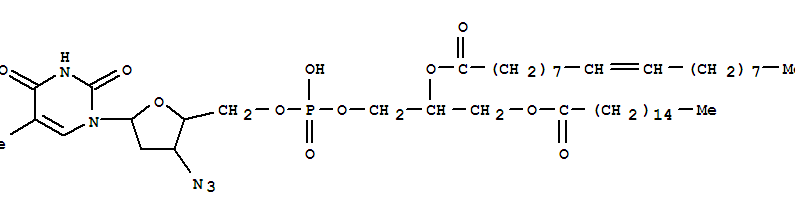
3'-azido-3'-deoxythymidine monophosphate diglyceride(130466-13-6)
- Name: 3'-azido-3'-deoxythymidine monophosphate diglyceride
- Synonyms:3'-Azido-3'-deoxythymidine monophosphate diglyceride;Azt-MP-DG;5'-Thymidylic acid,3'-azido-3'-deoxy-,mono(3-((1-oxohexadecyl)oxy)-2-((1-oxo-9-octadecenyl)oxy)propyl) ester,(R-(Z));
- Molecular Formula:C47H82 N5 O11 P
- Molecular Weight:924.1546
- CAS Registry Number:130466-13-6
- EINECS:
- Melting Point:
- Water Solubility:
Other Product
- 96806-35-8/1-nitroso-1-(2-hydroxypropyl)-3-(2-chloroethyl)urea
- 91417-87-7/5-[(3-carboxypropyl)amino]-1-(cyanomethyl)-3,4-dihydro-2H-pyrrolium chloride
- 141246-03-9/3-[5-chloro-2-(4-chlorobenzyl)-1H-benzimidazol-1-yl]butanoic acid
- 94898-73-4/9H-Pyrido[3,4-b]indole,1-(3-propylphenyl)-
- 82097-79-8/dibiphenyl-2-ylmercury
- 102396-24-7/JASPLAKINOLIDE
- 27233-82-5/2-Propenoic acid, polymer with ethenylbenzene, 2-ethylhexyl 2-propenoate and 2-hydroxyethyl 2-propenoate
- 66564-16-7/Ciclosidomine
- 71617-15-7/alpha,alpha,4-trimethylphenethyl acetate
- 70706-79-5/cyclo(aminoheptanoic acid-cyclo(cysteinyl-phenylalanyl-D-tryptophyl-lysyl-threonyl-cysteinyl))
- 196099-44-2/Pseudodistomine E
- 38635-85-7/1,3-Dichloro-6-(trifluoromethyl)phenanthren-9-carboxylic acid
- 87532-26-1/9.beta.,10.beta.-Epoxyroridin H
- 66787-03-9/({[(phenoxycarbothioyl)disulfanyl]carbothioyl}oxy)benzene
- 58653-47-7/Morphinan-6-ol,7,8-didehydro-4,5-epoxy-17- methyl-3-[2-(4-morpholinyl)ethoxy]-,(5R,- 6R)-,mixt. with 1-(4-amino-4-oxo-3,3-diphenylbutyl)- hexahydro-1-methyl-1H-azepinium iodide and 1-[(4-chlorophenyl)phenylmethyl]-4-(3- phenyl-2-propenyl)piperazine dihydrochloride
- 1835-02-5/2-BROMO-1-(3,4-DIMETHOXYPHENYL)ETHANONE
- 68227-30-5/formic acid, compound with 1,4-diazabicyclo[2.2.2]octane
- 30075-13-9/1-Propanone, 1-(3-ethyl-4-propoxyphenyl)-3-(hexahydro-1H-azepin-1-yl)- , hydrochloride (9CI)
- 68154-43-8/Fatty acids, cottonseed-oil, polymers with maleic anhydride, pentaerythritol and phthalic anhydride
- 130466-13-6/3'-azido-3'-deoxythymidine monophosphate diglyceride
- 64813-08-7/b-D-Glucopyranoside,(2Z,6R)-6-hydroxy-2,6-dimethyl-2,7-octadienyl (9CI)
- 76996-28-6/Pyrano[3,2-a]xanthen-12(3H)-one,5,9,11- trihydroxy-3,3-dimethyl-10-(3-methyl-2- butenyl)-
- 55968-37-1/Guanosine 5-(tetrahydrogen triphosphate), 3-deoxy-
- 94134-21-1/hexadecyldimethyl[3-(triethoxysilyl)propyl]ammonium chloride
- 29605-76-3/1-[(aminooxy)methyl]-3-nitrobenzene hydrochloride (1:1)
- 109358-73-8/Benzoic acid, 4-nitro-,2-[4-[[4-(3-methylphenyl)-1-piperazinyl]carbonyl]phenyl]hydrazide
- 21240-68-6/5,7,10,11-tetramethyl-6H-pyrido[4,3-b]carbazole
- 27156-09-8/Decanedioic acid,polymers,polymer with butanedioic acid,hexanedioic acid,2,2'-(methylimino)bis[ethanol] and 1,2,3-propanetriol
- 71132-09-7/2-(4-methylcyclohexyl)-1-(2-methylquinolin-4-yl)-3-(1,3-thiazol-2-yl)guanidine
- 3465-98-3/Tetrahydro-selenophene
