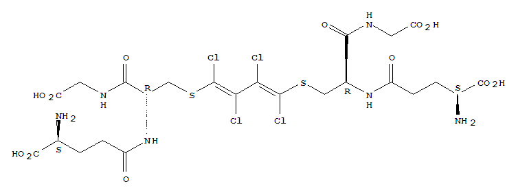
1,4-(bis-glutathion-S-yl)-1,2,3,4-tetrachloro-1,3-butadiene(115664-52-3)
- Name: 1,4-(bis-glutathion-S-yl)-1,2,3,4-tetrachloro-1,3-butadiene
- Synonyms:1,4-(bis-glutathion-S-yl)-1,2,3,4-tetrachloro-1,3-butadiene
- Molecular Formula:C24H32 Cl4 N6 O12 S2
- Molecular Weight:802.49
- CAS Registry Number:115664-52-3
- EINECS:
- Melting Point:
- Water Solubility:
Other Product
- 6649-90-7/2,3,4,9-Tetrahydro-1-(trichloromethyl)-1H-pyrido[3,4-b]indole
- 143173-93-7/3-AMINO-N-BUTYLBENZENESULFONAMIDE
- 6709-76-8/see Spiro[1,3-dioxolane-2,3'(2'H)-quinolin]- 2'-one
- 76489-36-6/2-hydroxypropane-1,3-diyl bis(3-oxobutanoate)
- 6622-54-4/9-CARBAZOLEPROPIONIC ACID
- 5408-19-5/3,3,3-triphenylpropanoic acid
- 96980-80-2/Hexanedioic acid, polymer with 1,1-methylenebis(isocyanatobenzene), 1,1-methylenebis(4-isocyanatobenzene) and 2,2-oxybis(ethanol)
- 66564-56-5/2-Propen-1-ol, polymer with 1,1-(diisocyanatomethylene)bis(benzene), ethoxydimethylsilane, alpha-hydro-omega-hydroxypoly(oxy(methyl-1,2-ethanediyl)) and alpha,alpha,alpha-1,2,3-propanetriyltris(omega-hydroxypoly(oxy(methyl-1,2-ethanediyl)))
- 39227-09-3/2-(2-acetyloxyethylsulfonylmethylsulfonyl)ethyl acetate
- 7415-86-3/bis(2,3-dibromopropyl) phthalate
- 83656-85-3/1-methylbenzo[b]naphtho[2,3-d]thiophene
- 61790-61-2/Fatty acids, coco, reaction products with diethylenetriamine
- 103034-60-2/p-Toluenesulfonamide, alpha,alpha-(ethylenediimino)bis(N,N-dimethyl-, diacetate
- 122829-02-1/dibutyl(methyl)stannanylium
- 6737-11-7/ACETIC ACID 3-BUTEN-2-YL ESTER
- 55206-18-3/3-(2-aminopropyl)-1H-indole-5,6-diol
- 53356-33-5/(2-pyridin-2-ylethyl)carbamodithioic acid
- 13348-58-8/2,10-dimethylacridinium methyl sulfate
- 68910-76-9/Linseed oil, polymer with conjugated walnut oil, glycerol, isophthalic acid, menhaden oil, oiticica oil, pentaerythritol and soybean oil
- 115664-52-3/1,4-(bis-glutathion-S-yl)-1,2,3,4-tetrachloro-1,3-butadiene
- 4529-64-0/2-[3-cyano-4-(methoxymethyl)-6-methyl-pyridin-2-yl]oxy-N-[[5-(4-nitrophenyl)-2-furyl]methylideneamino]acetamide
- 105386-85-4/1-[6-[bis(2-hydroxy-3-phenoxy-propyl)amino]hexyl-(2-hydroxy-3-phenoxy- propyl)amino]-3-phenoxy-propan-2-ol
- 4415-62-7/2-[4-(4-chlorophenyl)piperazin-1-yl]ethyl (2E)-3-thiophen-2-ylprop-2-enoate
- 661-83-6/3-bromo-3-chloro-1,1,1,2,2-pentafluoropropane
- 70546-62-2/(4aR,8aS)-6,9,9-trimethyl-4,4a,7,8,8a,9-hexahydronaphtho[2,3-b]furan
- 10531-80-3/6-METHYLBENZOXAZOLE
- 6472-29-3/5-amino-1-[6-(4-methylphenoxy)-2-(methylsulfanyl)pyrimidin-4-yl]-3-(methylsulfanyl)-1H-pyrazole-4-carbonitrile
- 73972-45-9/3-bromo-N-cyclohexylpropane-1-sulfonamide
- 101976-34-5/2-chloro-10-[3-(4-methoxypiperidin-1-yl)propyl]-10H-phenothiazine hydrochloride
- 36197-17-8/decahydro-1,4:5,8-dimethanonaphthalen-9-ol
